Cyanine5.5 azide,1557136-25-0一种近红外荧光染料分子
发布时间:2025-07-22     作者:zyl   分享到:
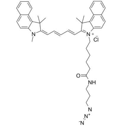
CAS号 1557136-25-0
分子量 701.34
分子式 C43H49ClN6O

Cyanine5.5 azide(CAS号:1557136-25-0) 是一种近红外荧光染料分子,带有叠氮(azide)反应基团,可通过“点击化学”(Click Chemistry)中的铜催化的炔-叠氮环加成反应(CuAAC)或应变促进的无铜点击反应(SPAAC),与炔基(alkyne)修饰的生物分子(如蛋白、核酸、多糖、纳米颗粒等)共价偶联。由于其强烈的近红外荧光特性和良好的水溶性,广泛应用于生物标记、成像探针、活体细胞示踪以及光学诊断等领域。
主要应用
1. 点击化学标记生物分子:
与炔基修饰的抗体、蛋白质、多肽、DNA、RNA、糖类进行点击反应,实现精确。
2. 体内/体外成像:
由于Cy5.5具有近红外吸收/发射波长,适用于:
活体动物成像(IVIS系统);
深层组织成像;
血管示踪和肿瘤靶向标记。
3. 光学探针开发:
可构建光响应型纳米探针或靶向药物输送系统,实现靶向识别与成像功能。
4. 多重(Multiplexing):
Cy5.5的光谱特性与Cy3、Cy5、Cy7等染料互补,适合多重免疫检测、FISH或细胞共染。
相关推荐:
127985-74-4,(p-SCN-Bn)-dota
DBCO-Biotin 二苯并环辛炔-生物素
DBCO-MAL,1395786-30-7
Sulfo-Cy3-E 琥珀酰亚胺酯
Sulfo-Cy5-E SE
DBCO-Biotin 二苯并环辛炔-生物素
FAPI,2471983-20-5
Sulfo-Cy5.5-E 琥珀酰亚胺酯
Sulfo-Cy7-E 琥珀酰亚胺酯




齐岳微信公众号
官方微信
库存查询