英文名 biotin sulfo-osu
CAS号 119616-38-5
分子量 443.42800
密度 1.64g/cm3
沸点 N/A
分子式 C14H18N3NaO8S2
熔点 N/A

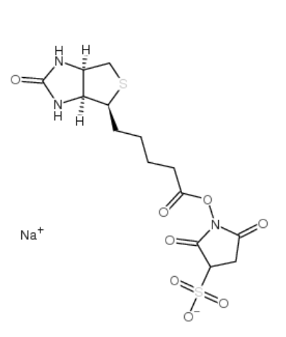
结构特点
Sulfo-NHS-Biotin 是一种含有生物素核心和N-羟基琥珀酰亚胺磺酸酯(Sulfo-NHS)活性酯基团的水溶性标记试剂。
生物素(Biotin)
是一种维生素H,具有高度特异性结合链霉亲和素(Streptavidin)和亲和素(Avidin)的能力,结合亲和力(Kd ~10^-15 M)。
Sulfo-NHS活性酯
改良版NHS活性酯,带有磺酸基团,增强其在水溶液中的溶解性。活性酯能够与蛋白质或其他分子中的伯胺基团(如赖氨酸残基)快速形成稳定的酰胺键。
主要性能与优点
水溶性强
相较于普通NHS-Biotin,磺酸基的引入使Sulfo-NHS-Biotin易溶于水性缓冲液,无需使用有机溶剂,方便直接在生理条件下标记。
反应活性高
Sulfo-NHS基团能够与蛋白质上的自由氨基快速反应,实现高效的生物素化。
标记温和
适合在pH 7.2-8.5条件下进行标记,不破坏蛋白质天然构象。
易于纯化
亲水性强减少非特异性吸附,标记后样品易于纯化与检测。
应用领域
蛋白质生物素化
用于将生物素共价连接至蛋白质或抗体赖氨酸残基上,实现后续与链霉亲和素结合的免疫检测、纯化及捕获。
免疫学研究
广泛用于Western blot、ELISA、免疫沉淀等技术中,作为信号放大和捕获标签。
细胞表面标记
由于水溶性好,适合在活细胞条件下对细胞表面蛋白进行生物素标记,便于流式细胞分析及细胞成像。
亲和纯化与拉下实验
结合链霉亲和素磁珠,进行靶标蛋白的高选择性捕获和纯化,广泛应用蛋白质组学研究。
相关推荐:
2055041-59-1,氨基-双(四聚乙二醇-羧酸) 盐酸盐
174137-97-4,NO-二叔丁酯 NO-(COOt-Bu)2
NH-BIS(二聚乙二醇-羧酸) 盐酸盐
1060652-57-4,BG GLA NHS ester
850180-76-6,3-叠氮丙酸N-琥珀酰亚胺酯
685082-61-5,Alkyne choline,炔胆碱
AMCA-OSu,113721-87-2
D-85大孔丙酸烯系弱酸性阳离子交换树脂




齐岳微信公众号
官方微信
库存查询