Mal-PEG4-COOH 518044-41-2 PEG衍生物
发布时间:2023-03-09     作者:LYQ   分享到:
产品信息:
英文名称:Mal-PEG4-COOH
CAS No.:
518044-41-2
产品纯度:
≥95%
分子式:
C15H23NO8
外观:粘性液体或固体粉末,取决于分子量
分子量(PEG):根据客户需求定制
注意事项:在干燥的环境中取用,避免频繁的溶解和冻干
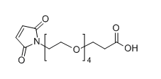
结构式:

产品简介:
聚乙二醇是一种高分子聚合物,化学式是HO(CH2CH2O)nH,无刺激性,味微苦,具有良好的水溶性,并与许多有机物组分有良好的相溶性。具有优良的润滑性、保湿性、分散性、粘接性,可作为抗静电剂及柔软剂等使用。
西安齐岳生物科技有限公司提供各种合成磷脂,高分子PEG衍生物,小分子聚乙二醇,USPIO超顺磁性氧化铁纳米颗粒,纳米金,纳米金棒,树枝状聚合物,荧光染料及交联剂等等产品。
包装: 瓶装
生产商:西安齐岳生物科技有限公司
产地:西安
用途:仅用于科学研究,非医疗目的,非药用,非食用
温馨提示:仅用于科研,不能用于人体!
相关产品:
Biotin-NH2
Biotin-PEG-Amine
生物素-聚乙二醇-氨基
Biotin-COOH
Biotin-PEG-carboxyl
生物素-聚乙二醇-羧酸
Biotin-MAL




齐岳微信公众号
官方微信
库存查询