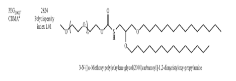
说到Onpattro,作为已上市的siRNA脂质体,名气不小,之前小编在介绍DLin-MC3-DMA时提到过siRNA脂质体Onpattro的处方,其中除DLin-MC3-DMA外还有一个新面孔PEG2000-C-DMG。同样是阳离子脂质,阳离子磷脂PEG2000-C-DMG在siRNA脂质体Onpattro中发挥怎样的功效?与我们熟悉的DSPE-PEG2000有什么联系和区别吗?

PEG2000-C-DMG在处方中的作用一是防止粒子间聚集,二是利用PEG2000的“隐形”作用实现长循环及被动靶向。那为何不用DSPE-PEG2000而是要费劲研制一个新辅料呢?根据原研公司Alnylam的研究,处方所用PEG化脂质的类型和数量不仅决定了脂质体的粒径大小,更会强烈影响基因沉默能力,明显DSPE在这一点上相较于C-DMA是不具有任何优势的。PEG2000-C-DMG可降低脂质体与细胞间的相互作用及吸附ApoE的能力,同时,使用含有短酰基链(C14的M)的聚乙二醇脂质,可在实现体内逃逸的同时快速解离,体内半衰期<30min,获得很好的肝细胞基因沉默效果。PEG2000-C-DMG在Onpattro中的用量如下:

PEG2000-C-DMG也可应用于小分子**药的阳离子脂质体的制备,替换DSPE-PEG2000。在弱酸性的**微环境中,PEG2000-C-DMA酰胺键发生断裂形成三价季铵盐,暴露出正电荷,使得粒子正电性即细胞毒性更强,对**新生血管的杀伤作用更明显。而这一反应在正常生理条件下则不易发生,因此制备的阳离子脂质体具有pH敏感性,安全性较高的同时抑瘤效果更好。
PEG2000-C-DMG,阳离子磷脂,在siRNA脂质体Onpattro中发挥怎样的功效?
齐岳生物提供不同碳链饱和脂肪酸或不饱和脂肪酸以及混合酰基和溶血的磷脂酰胆碱产品。
DLPC (12:0 PC) 二月桂酰磷脂酰胆碱
1,2-Dilauroyl-sn-glycero-3-phosphorylcholine CAS: 18194-25-7
DMPC (14:0 PC) 二肉豆蔻酰磷脂酰胆碱
1,2-Dimyristoyl-sn-glycero-3-phosphorylcholine CAS: 18194-24-6
DPPC (16:0 PC) 二棕榈酸磷脂酰胆碱
1,2-Dipalmitoyl-sn-glycero-3-phosphorylcholine CAS:63-89-8
DSPC (18:0 PC) 二硬脂酰磷脂酰胆碱
1,2-Distearoyl-sn-glycero-3-phosphorylcholine CAS:816-94-4
DOPC (18:1 PC) 二油酰基磷脂酰胆碱
1,2-dioleoyl-sn-glycero-3-phosphocholine cas:4235-95-4
POPC (16:0-18:1 PC) 1-棕榈酰基-2-油酰基磷脂酰胆碱
1-Palmitoyl-2-oleoyl-sn-glycero-3-phosphorylcholine CAS: 26853-31-6




齐岳微信公众号
官方微信
库存查询