英文名 CYANINE 5 BIHEXANOIC ACID DYE, SUCCINIMIDYL ESTER, POTASSIUM SALT
CAS号 252255-42-8
分子量 975.13300
分子式 C45H51KN4O14S2

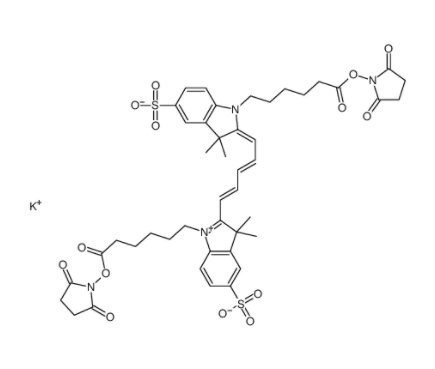
Sulfo-Cyanine5 bis-NHS(又称 Sulfo-Cy5 bis-NHS ester)是一种水溶性、近红外用活性酯染料,广泛应用于蛋白质、肽、抗体、寡核苷酸等生物大分子的高效共价标记。该分子结构中包含两个N-羟基琥珀酰亚胺(NHS)酯活性基团,能够与伯胺反应形成稳定的酰胺键。同时,其主链为带磺酸基的Cyanine5染料,具有良好的水溶性、优异的荧光性能和生物相容性,适合用于无机盐环境中进行标记反应,无需使用有机溶剂辅助。
化学反应特性
Sulfo-Cy5 bis-NHS 的活性酯结构能与多种含伯胺官能团的生物分子发生亲核加成反应:
目标基团:伯胺(如赖氨酸侧链、N-端氨基、修饰过的核酸或糖分子)
反应条件:通常在 pH 7.2–8.5 的缓冲液中(如PBS、HEPES、碳酸盐缓冲液)进行
反应优势:
无需金属离子或有机溶剂辅助;
两个NHS位点可实现双位点标记,或作为交联剂构建共价聚合结构
应用领域
1. 蛋白质与抗体标记
Sulfo-Cyanine5 bis-NHS 是标记蛋白质类分子的理想选择。其双NHS酯可与蛋白分子上的多个赖氨酸反应,实现高密度标记,同时保持分子活性,适用于免疫组化、免疫印迹、ELISA、免疫共沉淀等实验。
2. 寡核苷酸标记
通过与氨基修饰的寡核苷酸3'或5'端反应,实现核酸探针的红色荧光修饰,用于杂交实验、FISH、基因检测、qPCR分析等。
3. 荧光显微与共聚焦成像
其近红外荧光性质可实现深层组织成像,常用于活细胞或固定细胞的定位研究、共定位实验、细胞器标记等。
4. 生物分子交联
由于其为“双NHS”结构,不仅可用于标记,也可作为交联剂,将两个含胺的分子或结构体桥接,如构建荧光聚合物、功能化纳米颗粒、蛋白复合物等。
相关推荐:
129423-53-6,钠离子荧光探针,SBFI AM(Na+Indicator)
CoroNa Green, AM
216699-37-5,6-Rhodamine 6G NHS ester
Cyanine2 NH2,Cyanine2伯胺
Cyanine2 NHS Ester,186205-33-4
1295584-83-6,NOTA-Mal
BODIPY 558/568 carboxylic acid




齐岳微信公众号
官方微信
库存查询