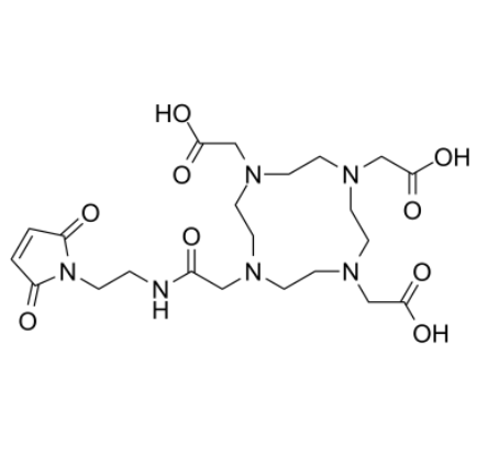
英文名 Maleimide-DOTA
CAS号 1006711-90-5
分子量 526.54
分子式 C22H34N6O9
熔点 N/A

主要应用领域
1. 功能分子的金属化修饰
Maleimido Mono Amide DOTA 常见的用途是将金属离子(如放射性同位素、造影元素)稳定地标记到功能分子上。这在许多科学和工程领域都有重要价值:
造影探针构建:通过 DOTA 部分螯合钆(Gd³⁺)用于MRI增强;
荧光或放射性标记载体合成:与 ^68Ga、^111In、^177Lu 等金属形成稳定的螯合络合物;
金属离子追踪系统:用于标记生物分子后观察其在复杂体系中的行为。
2. 生物分子的共价标记与偶联
通过马来酰亚胺与巯基之间的快速、高效加成反应,Maleimido Mono Amide DOTA 可将金属螯合结构牢固接入到蛋白质、抗体、纳米粒子或聚合物表面:
蛋白质/抗体功能化:标记抗体Fc区的巯基残基,形成金属标记抗体;
多肽标记:与末端巯基反应,合成稳定的金属标记多肽;
纳米颗粒功能化:修饰金属、聚合物或脂质纳米粒子,构建荧光/放射性追踪纳米平台。
3. 多功能材料开发
该分子还能作为桥梁,连接DOTA金属螯合功能与其他官能团(例如光敏基团、聚合基团),进而参与合成新型功能材料、传感器、智能响应体系等。
相关推荐:
1006711-90-5,Maleimido mono amide DOTA
817562-90-6,DOTAGA-tetra (t-Bu ester)
螯合剂2780352-89-6,p-SCN-Bn-TCMC
p SCN Bn DOTA,1020407-41-3
p SCN Bn NOTA,147597-66-8
DOTA DBCO,大环化合物二苯环并辛炔
DOTA PSMA,1702967-37-0
2-Azido-2-deoxy-D-glucose,56883-39-7




齐岳微信公众号
官方微信
库存查询