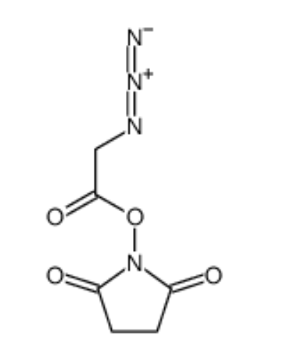
常用名 叠氮乙酸 NHS 酯
英文名 Aeide-C1-NHS ester
CAS号 824426-32-6
分子量 198.13600
分子式 C6H6N4O4

结构与性质
Azidoacetic Acid NHS Ester 是一种含有叠氮基(–N₃)和活性NHS酯的有机化合物。其结构由叠氮乙酸部分和N-羟基琥珀酰亚胺(NHS)活性酯组成:
叠氮基团(–N₃):是一种小巧、反应活泼的功能基团,能参与“点击化学”(Click Chemistry)中的叠氮-炔基环加成反应(CuAAC)
NHS酯:是一种高度反应性的活性酯,能够在温和条件下与初级胺形成稳定的酰胺键,广泛用于生物分子修饰
化学反应特性
NHS酯活性
Azidoacetic Acid NHS Ester 中的NHS酯基团可以高效地与含有初级胺的分子(如蛋白质、肽、多肽、寡核苷酸、氨基修饰的聚合物等)发生酰胺化反应,形成稳定的酰胺键。这种反应通常在pH 7.0-9.0的缓冲溶液中进行,具有高选择性和高产率。
叠氮基功能
该分子的叠氮基不会参与NHS酯的酰胺化过程,保留完整,且可在后续的“点击”反应中与炔基分子实现共价偶联,形成1,2,3-三唑环。这种二步式连接方式分子修饰和探针设计的可能性。
应用领域
1. 生物大分子标记
Azidoacetic Acid NHS Ester 经常用于蛋白质和多肽的叠氮化修饰。通过与蛋白质上的赖氨酸残基或N-端氨基反应,将叠氮基引入蛋白分子中,进而使蛋白质具备点击化学的功能位点。
用于构建荧光探针
生物大分子交联
免疫标记
药物载体修饰
2. “点击化学”探针合成
叠氮基经由Azidoacetic Acid NHS Ester引入分子后,可利用铜催化的叠氮-炔基环加成反应(CuAAC)或无铜的SPAAC反应,快速将荧光染料、生物素、PEG链、药物分子等含炔基的功能分子连接,实现多功能探针合成。
3. 与纳米技术
通过与含胺基的聚合物或纳米材料偶联,引入叠氮功能,实现后续多功能修饰,用于智能材料、靶向递药系统等。
4. 细胞与体内标记
在细胞表面蛋白或其他生物大分子上引入叠氮基,配合点击化学实现细胞追踪、成像和功能研究。
相关推荐:
1953146-81-0,Tri-GalNAc偶联羧酸
sulfo-Cyanine7.5 dimethyl,水溶性荧光染料Cyanine7.5
sulfo-Cyanine5 dimethyl
sulfo-Cyanine3 dimethyl
11028-71-0,FITC-Con A,FITC标记刀豆蛋白A
Cyanine7.5 dimethyl
DBCO-四乙酰甘露糖胺,DBCO-Ac4Man




齐岳微信公众号
官方微信
库存查询