中文名称: P-SCN-BN-DOTA
MF: C24H33N5O8S
MW: 551.61
CAS: 1020407-41-3

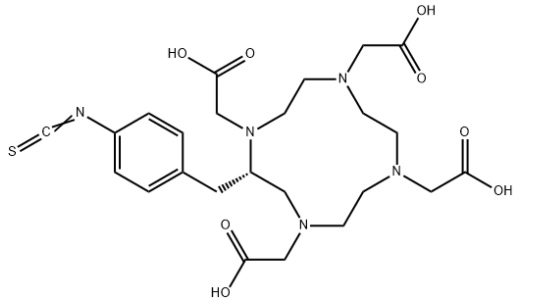
p-SCN-Bn-DOTA 是一种功能性化学分子,其全称为 p-异硫氰苯基-1,4,7,10-四氮环十二烷-1,4,7,10-四乙酸(DOTA)衍生物。它将 DOTA 核的高稳定金属螯合能力与对位异硫氰苯基(p-SCN-Bn)的化学活性结合,形成可进行共价偶联的金属螯合平台。p-SCN-Bn-DOTA 的双功能设计使其在金属配位化学、分子探针开发和功能化材料构建中具有广泛应用价值。
化学结构与性质
p-SCN-Bn-DOTA 的核心是 DOTA 环,DOTA(1,4,7,10-四氮环-十二烷-1,4,7,10-四乙酸)由四个氮原子和四个羧酸基团组成,能够与多价金属离子形成高稳定性螯合物。通过在苯环对位引入异硫氰基(–SCN),分子获得与氨基化合物共价结合的能力,实现稳定的硫脲键偶联。
分子通常为白色至淡黄色粉末,具有良好的化学稳定性。在水溶液及缓冲液中可溶,亦可溶于 DMSO、DMF 等极性有机溶剂。中性或弱碱性环境下,分子稳定性最佳,而强酸或强碱可能导致异硫氰基水解,从而降低共价偶联活性。DOTA 核的羧酸基团提供良好的金属螯合性能,使分子在水溶液体系中保持高度稳定。
应用领域
金属螯合与配位化学研究:DOTA 核提供高度稳定的多齿配位位点,可用于研究多价金属离子的热力学与动力学特性。
功能化分子构建:异硫氰苯基可将分子共价偶联到肽链、蛋白质或聚合物,实现多功能化分子平台。
材料功能化与表面修饰:p-SCN-Bn-DOTA 可用于纳米颗粒、聚合物或固体载体的表面修饰,同时固定金属离子或引入化学识别功能。
分子探针与分析体系:通过金属螯合和共价偶联功能,可构建用于化学分析、分子识别和信号转导的功能化体系。
化学修饰与偶联研究:异硫氰基可与多种氨基化合物反应,形成稳定硫脲键,用于复合分子或标记体系的构建。
相关推荐:
18523-48-3,Azide Acetic Acid
DMPip-βALA-OSu 922182-37-4
1252799-47-5,(R)-NOTA-GA-(COOt-Bu)3
152111-91-6,NIR-797-isothiocyanat
CAS:115534-33-3,TMA-DPH
47729-63-5,JC-1 iodide
ER-TrackerGreen Cas:730931-46-1
1801695-60-2|Me-tetrazine-Disulfo-Cyanine3




齐岳微信公众号
官方微信
库存查询