Sulfo-Cyanine7.5 azide,Cyanine7.5 N3,磺酸基Cy7.5 叠氮
发布时间:2023-03-13     作者:ssl   分享到:
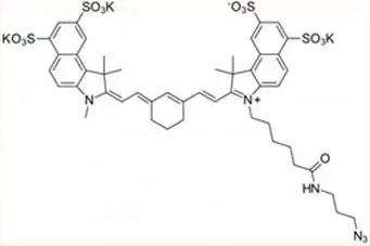
Sulfo-Cyanine7.5 azide_Cyanine7.5 N3_磺酸基Cy7.5 叠氮
Sulfo-Cyanine7.5 azide,Sulfo-Cyanine7.5 N3,Sulfo-Cy7.5 N3,磺酸基Cy7.5 叠氮,磺酸基Cyanine7.5 叠氮
一.产品规格:
1.CAS号:
2.分子式:C48H51N6K3O13S4
3.分子量:1165.51
4.包装规格:包装灵活
5.外观:固体或粉末
6.溶解条件:溶于大部分有机溶剂,如:DCM、DMF、DMSO、THF等等,在水中有很好的溶解性
7.稳定性:-20°C下1年,干燥,避光。
二.反应特点:
Sulfo-Cyanine7.5 azide中磺基氰7.5可作为许多反应性衍生物提供,这种叠氮化物可以用来方便地标记各种生物分子由铜催化或无铜点击化学。磺基氰7.5是光谱近红外区的七甲基炔菁染料,非常亲水,这种荧光团类似于ICG(吲哚菁绿),它在体内的使用历史很长。
产品结构式:

厂家:西安齐岳生物科技有限公司
用途:科研
状态:固体/粉末/溶液
产地:西安
温馨提醒:仅供科研,不能用于人体实验
相关产品:
ICG标记芍药苷 Paeoniflorin
ICG标记阿魏酸Ferulic Acid Ferulic Acid
ICG标记紫草酸Boswellic Acid Lithospermic Acid
ICG标记乳香酸Boswellic Acid Boswellic Acid
ICG标记表白桦脂酸 Epibetulinic Acid




齐岳微信公众号
官方微信
库存查询