英文名称: 2-n-propyl-4-pentynoic acid
中文名称: 2-正丙基-4-戊炔酸
MF: C8H12O2
MW: 140.18
CAS: 24102-11-2

产品简介:
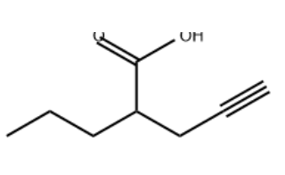
2-Propylpent-4-ynoic acid 是一种不饱和羧酸类化合物,其分子结构中包含一个五碳主链,在末端具有炔基(-C≡C-),以及2号位置的支链丙基(-CH2CH2CH3)。这一结构特征使得该化合物具有独特的化学反应活性和空间构型。炔基的存在赋予分子一定的反应性,如能够进行加成、环化或偶联反应,而支链的疏水性则影响其溶解性和分子间相互作用。
物理性质方面,2-Propylpent-4-ynoic acid 通常为液体或低熔点固体,具有典型的羧酸气味。它在极性有机溶剂如乙醇、乙腈、丙酮中溶解性良好,但在水中溶解度较低。化学性质上,羧基可参与酯化、酰胺化等反应,炔基可以通过催化剂或过渡金属进行亲核加成或点击化学反应,使其在有机合成和功能分子设计中具有灵活性。分子中丙基支链的空间位阻可以影响反应选择性,尤其在对立体化学要求高的反应中表现明显。
在应用方面,2-Propylpent-4-ynoic acid 常作为合成中间体,用于制备含炔基的衍生物或复杂分子。例如,它可以通过炔基的活化与其他含羟基或氨基的分子偶联,生成功能性分子或配体;同时,羧基的化学活性使其适用于多种改性策略,如酯化或酰胺化,用于调节分子极性或空间结构。在材料化学和药物化学中,该类化合物可作为起始原料,参与构建分子骨架或功能团修饰,为进一步的化学研究提供便利。
总体来看,2-Propylpent-4-ynoic acid 具有多功能的化学结构,结合炔基反应活性和羧基化学反应性,使其在有机合成和分子设计中表现出良好的适应性和应用潜力。其独特的分子结构特征也为后续的衍生化研究提供了多样化的选择。
来源产地:
本产品由陕西省西安市生产,品质可靠,可满足科研实验的需求
包装规格:
提供多种规格选择,瓶装包装灵活,用户可根据实验需求选择 50 mg、100 mg、250 mg 或 500 mg
产品形态:
可提供固体、粉末及溶液形式,适应不同实验操作需求
储存说明:
建议置于低温冷藏环境,避免光照和潮湿,以保持产品活性与性能稳定
品牌介绍:
西安齐岳生物科技有限公司专注于科研药物传递及纳米靶向技术的研发和生产。公司产品涵盖合成磷脂、PEG 系列衍生物、嵌段共聚物、纳米金属及磁性纳米颗粒、介孔二氧化硅、活性荧光染料、荧光量子点、点击化学试剂及大环配体等多个领域。秉持创新理念,致力于为国内科研机构和相关单位提供高质量科研试剂,支持科学研究的顺利开展。
(内容整理:小编kx,仅供科研用途)
产品推荐:
ATTO 550 tyramide
2500973-94-2,Alexa Fluor488 hydrazide
环二肽36238-67-2,Cyclo(D-Leu-L-Pro)
1508249-06-6,6-TAMRA Mal
1433996-86-1,叠氮-五聚乙二醇-琥珀酰亚胺
AF488 WGA,AF488标记小麦胚芽凝集素
34213-34-8 甲基 2,3,4-三-O-乙酰基-β-D-葡萄糖醛酸甲酯




齐岳微信公众号
官方微信
库存查询