Thalidomide-O-amido-PEG2-NH2.HCl 2376990-30-4 萨力多胺-O-AMIDO-二聚乙二醇-C2-氨基盐酸盐
发布时间:2023-03-14  作者:LYQ  分享到:
产品简介:
PEG修饰剂随着平均分子量的不同,性质也有差异。从无色无臭粘稠液体至蜡状固体。随着分子量的增大,其吸湿能力相应降低。
中文名称:沙利度胺-O-酰胺-二聚乙二醇-氨基盐酸盐
英文名称:Thalidomide-O-amido-PEG2-NH2.HCl
CAS No.:
2376990-30-4
中文别名:
萨力多胺-O-AMIDO-二聚乙二醇-C2-氨基盐酸盐
英文别名:
Thalidomide-linker 14
产品纯度:
≥95%
分子式:
C21H27N4O8.Cl
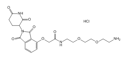
结构式:

存储条件:-20°冷冻保存,惰性气体保护
状态:由于PEG分子量的不同,呈现的产品状态多为液体或粘稠状固体
分子量: 350、550、750、1000、2000、3400、5000、10000
溶解性:溶于大部分有机溶剂
西安齐岳生物科技有限公司供应定制合成磷脂、PEG磷脂、两亲嵌段共聚物,磁性纳米颗粒,纳米金,荧光量子点及树枝状聚合物、PEG衍生物等等产品。
包装: 瓶装
生产商:西安齐岳生物科技有限公司
产地:西安
用途:仅用于科学研究,非医疗目的,非药用,非食用
温馨提示:仅用于科研,不能用于人体!
相关产品:
邻吡啶二硫-聚乙二醇-精氨酸
OPSS-Ornithine
邻吡啶二硫-聚乙二醇-鸟氨酸
OPSS-Aspartic acid
邻吡啶二硫-聚乙二醇-天冬氨酸
OPSS-tyrosine




齐岳微信公众号
官方微信
库存查询