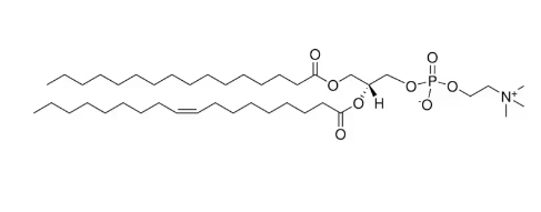
16:0-18:1 PC,CAS:26853-31-6
16:0-18:1 磷脂酰胆碱(PC)
一、基本信息
化合物名称:16:0-18:1 磷脂酰胆碱
英文名称:1-palmitoyl-2-oleoyl-sn-glycero-3-phosphocholine,简称 POPC
CAS号:26853-31-6
分子式:C42H82NO8P
分子量:760.1 g/mol
该化合物是常用的 磷脂酰胆碱(PC)类分子之一,属于甘油磷脂(glycerophospholipid)家族。其脂肪酸组成具有明显的不对称性:
sn-1 位:棕榈酸(16:0),饱和脂肪酸;
sn-2 位:油酸(18:1, cis-Δ9),单不饱和脂肪酸;
头基:磷酸胆碱,强性亲水基团。
这种不对称性赋予了 16:0-18:1 PC 独特的物理化学性质,使其成为 研究细胞膜结构与功能的经典模型分子。
二、结构特征与理化性质
两亲性
亲水性的胆碱头基和疏水性的脂肪酸尾链赋予分子两亲特性,能够在水环境中自组装成双分子层。
相行为
16:0 脂链较直,易形成紧密堆积;
18:1 脂链因双键存在而弯折,增加膜的流动性;
POPC 的相转变温度(Tm)约为 -2 °C,在生理温度下处于流动相(liquid crystalline phase),非常适合模拟天然生物膜。
双分子层特征
POPC 双层厚度约 4–5 nm,膜的流动性、渗透性及弹性均接近哺乳动物细胞质膜。
三、合成与制备
天然来源
POPC 是哺乳动物细胞膜中常见的磷脂之一,尤其在脑组织和血浆中含量较高。
化学合成
实验常用的 POPC 多由化学合成获得,通过选择性酯化反应将棕榈酸与油酸接入甘油骨架,并引入磷酸胆碱头基。
现代合成工艺能够提供高纯度(>99%)和明确的立体构型(sn-1 与 sn-2 定位)。
储存条件
对温度和氧化敏感,需在低温(-20 °C 或 -80 °C)和惰性气体保护下保存,以避免脂肪酸链氧化。
四、生物学功能
细胞膜组成
POPC 是质膜和内膜系统的主要成分之一,调节膜的流动性与结构稳定性。
由于其低相转变温度,使得细胞膜在生理温度下保持柔韧性。
信号转导
POPC 可作为酶作用底物,例如被磷脂酶 A2 (PLA2) 裂解,产生溶血磷脂(LPC)和脂肪酸,从而参与炎症和信号转导。
脂筏与膜域形成
POPC 在膜中常与胆固醇、鞘脂等共同作用,影响脂筏结构的形成与动态平衡。
五、研究与应用领域
1. 膜生物学与模型膜研究
POPC 是研究生物膜经典的模型分子之一,常用于制备 单分子膜、双分子层和巨/小单层囊泡(GUVs, LUVs, SUVs)。
用于研究膜蛋白与脂质的相互作用、膜通透性、脂质相分离以及纳米尺度的膜动力学。
2. 药物递送与脂质体制备
由于 POPC 膜在生理条件下具有流动性和稳定性,它是 脂质体制备的关键原料。
常与胆固醇、PEG-修饰脂质等共同配伍,用于制备*癌药物、核酸药物(siRNA、mRNA疫苗)和其他生物活性分子的载体。
3. 生物物理与计算模拟
POPC 双层膜参数(面积/脂质、膜厚度、扩散系数)已被广泛测定和标准化。
在分子动力学(MD)模拟中,POPC 双层是研究膜蛋白插入、脂质相互作用的“黄金标准”体系。
4. 疾病研究
POPC 水平的变化与代谢疾病、动脉粥样硬化和神经退行性疾病等密切相关。
在阿尔茨海默病等疾病模型中,POPC 膜被用于研究淀粉样蛋白对膜结构的影响。
六、检测与分析方法
质谱分析(MS)
LC-MS/MS 可对 POPC 在生物样品中的含量进行定量分析。
核磁共振(NMR)
¹H-NMR 与 ³¹P-NMR 用于研究磷脂的结构特征与相行为。
X射线与中子散射
研究 POPC 双层膜的层厚、分子排列及相变特征。
荧光显微与单分子技术
利用的 POPC,可以直观观察其在细胞膜或人工膜中的分布与动态。
七、优势与局限性
优势
与哺乳动物细胞膜组成高度接近;
低相转变温度,适合生理条件下研究;
可稳定制备人工脂质体与纳米载体;
已有丰富的生物物理学参数和计算模拟数据。
局限性
易受氧化影响,需严格保存;
在某些实验体系中,单一POPC不足以反映复杂膜的多样性;
价格相对较高,限制大规模工业应用。
八、应用前景与发展方向
随着脂质组学、膜蛋白学和纳米医学的快速发展,16:0-18:1 PC(POPC)将在以下方面展现更广阔前景:
准医学
利用 POPC 内标进行脂质组学分析,有助于发现疾病相关脂质生物标志物。
新型药物递送体系
在 mRNA 疫苗和基因治疗载体中,POPC 脂质体因其良好的稳定性与生物相容性而被广泛应用。
人工细胞与合成生物学
POPC 是人工合成细胞膜的常用原料,可用于研究细胞基本的生命过程。
跨学科应用
结合纳米技术、光学成像及计算模拟,POPC 将继续作为研究膜相关现象的“标准分子”。
九、结语
16:0-18:1 PC(POPC, CAS:26853-31-6)是一个具有重要生物学与研究价值的磷脂分子。其 不对称脂肪酸结构 赋予了分子独特的膜物理性质,使其成为 膜生物学、药物递送和生物物理学研究的经典材料。随着医学与的深入发展,POPC 不仅将在基础研究中继续扮演关键角色,还将在 临床诊断、准医疗和新型药物递送体系 中展现广阔的应用前景。
西安齐岳生物提供多种 PC(磷脂酰胆碱) 与 PE(磷脂酰乙醇胺),来源可靠、纯度高,无论是用于 脂质体构建、膜模型研究,还是 药物递送与功能化纳米颗粒制备,都能提供稳定的性能保障。多样的链长、饱和度和修饰类型,让科研人员可根据实验需求灵活选择,轻松搭建高效实验平台。
厂家:西安齐岳生物科技有限公司
用途:科研
状态:固体/粉末/溶液
产地:西安
温馨提醒:仅供科研,不能用于人体实验!
相关产品:
18:1(n10)-16:0 PC - IsoPure,CAS:2389048-47-7
18:1 Lyso PC,CAS:19420-56-5
18:1-06:0 NBD PC,CAS:106974-05-4
15:0-18:1-d7-PC,CAS:2097561-16-3
18:1-12:0 NBD PC,CAS:190792-36-0
18:1(n7)-16:0 PC - IsoPure,CAS:2389048-50-2
18:0 Diether PC




齐岳微信公众号
官方微信
库存查询