16:0-18:1 Diether PC,CAS:65268-57-7
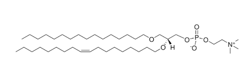
16:0-18:1 Diether PC 是一种功能化磷脂酰胆碱(PC)衍生物,属于二醚型磷脂。其分子由甘油骨架、磷酸胆碱头基及两条脂肪醚链组成:一条为16:0饱和脂肪醚链,另一条为18:1不饱和脂肪醚链。与典型的酯型磷脂不同,二醚型磷脂中脂肪酸通过醚键而非酯键与甘油骨架连接,这赋予分子出色的化学稳定性、*水解性和耐氧化性,使其在端条件下仍能保持膜结构稳定,广泛应用于膜生物学研究、脂质体制备及药物递送系统。
一、分子结构与功能特征
16:0-18:1 Diether PC 的核心结构包括甘油骨架、两条脂肪醚链以及磷酸胆碱头基。甘油的两个羟基通过醚键与16:0饱和脂肪醚链和18:1不饱和脂肪醚链连接,第三个羟基通过磷酸酯与胆碱头基结合。
该结构的特点包括:
醚键稳定性:醚键比酯键更耐水解和氧化,在高温、强酸或强碱条件下仍保持分子完整性。
膜稳定性:16:0饱和链提供膜刚性和厚度,而18:1不饱和链的顺式双键增加膜流动性和柔韧性。
两亲性:胆碱头基提供亲水性,脂肪醚链提供疏水性,使分子可自组装形成稳定的脂质膜或脂质体。
二醚结构不仅增强了膜的稳定性,还能够模拟天然醚脂质(如溶藻菌和古菌中的磷脂),在膜生物学研究中提供独特模型。
二、理化性质
外观与物理状态
16:0-18:1 Diether PC 通常为白色至浅黄色固体或粉末,结晶性良好。常温下化学稳定性高,可长期储存。
溶解性
该分子在有机溶剂(如氯仿、二氯甲烷、乙醚)中溶解性良好。在水相中,分子可以通过自组装形成单分子层、脂质双层或脂质体颗粒。与酯型PC相比,二醚PC在水相中表现出更低的水解率和更长的膜稳定性。
膜特性
16:0链提供膜厚度和局部刚性,18:1链增加膜流动性。二醚型连接使膜在高温、端pH或氧化环境下仍能保持流动性和完整性,是研究端条件下膜生物学的理想模型。
化学稳定性
醚键*水解和*氧化特性使该分子在水相或有机相中表现出高稳定性。即使在长时间储存或高温实验条件下,分子结构仍基本保持完整,减少降解产物对实验的干扰。
电子与性特性
磷酸胆碱头基提供显著的性界面,可与水分子和离子形成氢键和静电作用,同时脂肪醚链的疏水性确保分子在膜内形成稳定的疏水核心。双键位置(18:1链的顺式双键)增加局部弯曲,调控膜的微观流动性。
三、合成路线
16:0-18:1 Diether PC 的合成主要包括脂肪醚链引入、甘油骨架醚化及磷酸胆碱头基连接三个步骤:
脂肪醚链合成
原料:16:0和18:1脂肪醇
反应:通过脱水或亲核醇化与甘油衍生物形成醚键
纯化:柱层析或液相色谱去除未反应底物
甘油骨架醚化
甘油羟基与脂肪醇反应生成二醚结构
条件:强碱或催化剂辅助,以保证高选择性和醚键稳定性
纯化:液相色谱或柱层析去除副产物
磷酸胆碱头基连接
将甘油二醚与胆碱磷酸衍生物反应形成磷酸酯键
条件:温和有机溶剂体系中进行磷酸化
纯化:HPLC 或柱层析获得高纯度产物
四、表征方法
核磁共振(NMR)
1H-NMR 和 13C-NMR 用于确认甘油骨架、脂肪醚链及磷酸胆碱结构
不饱和双键在化学位移上呈现特征信号,可验证18:1链的顺式构型
质谱(MS)
确测定分子量,验证二醚结构及脂肪链组成
红外光谱(IR)
检测醚键特征吸收峰、磷酸酯振动峰及不饱和链的C=C信号
高效液相色谱(HPLC)或薄层色谱(TLC)
用于监控反应进度及纯度分析
五、应用价值
膜生物学研究
16:0-18:1 Diether PC 可用于构建稳定膜模型,研究膜流动性、脂质筏形成及膜蛋白嵌入行为。二醚结构提供耐水解和耐氧化特性,是模拟端环境膜体系的理想工具。
脂质体与药物递送
该分子可自组装形成脂质体,在酸性、氧化或高温条件下仍保持膜稳定性,适合封装敏感药物、蛋白质或核酸,实现体内稳定递送和控释。
膜蛋白功能研究
作为模型膜成分,二醚PC可用于研究脂质环境对膜蛋白结构和功能的影响,为膜蛋白折叠、嵌入及信号转导提供参考。
端条件实验与生物模拟
16:0-18:1 Diether PC 的化学稳定性使其适合模拟古菌或耐端条件生物的膜特性,用于研究耐高温、强酸或氧化环境下的膜动力学。
六、总结
16:0-18:1 Diether PC 是一种具有二醚结构的功能化磷脂,其核心由甘油骨架、两条脂肪醚链及磷酸胆碱头基组成。16:0饱和链提供膜厚度和刚性,18:1不饱和链调节膜流动性,醚键赋予分子优异的化学稳定性和*氧化性。合成路线包括脂肪醚链引入、甘油骨架醚化及磷酸胆碱头基连接,终产物通过 NMR、MS、IR 和 HPLC 表征。16:0-18:1 Diether PC 在膜生物学、脂质体制备、药物递送及膜蛋白研究中具有重要应用,是基础研究和药物研发的重要工具分子。
西安齐岳生物提供多种 PC(磷脂酰胆碱) 与 PE(磷脂酰乙醇胺),来源可靠、纯度高,无论是用于 脂质体构建、膜模型研究,还是 药物递送与功能化纳米颗粒制备,都能提供稳定的性能保障。多样的链长、饱和度和修饰类型,让科研人员可根据实验需求灵活选择,轻松搭建高效实验平台。
厂家:西安齐岳生物科技有限公司
用途:科研
状态:固体/粉末/溶液
产地:西安
温馨提醒:仅供科研,不能用于人体实验!
相关产品:
18:0 azidoethyl PC,CAS:2342574-09-6
18:0 (9,10dibromo) PC,CAS:217075-01-9
16:0-18:0(4,5-二溴) PC,CAS:105464-30-0
16:0-18:0 (11-12BR) PC,CAS:324054-54-8
16:0-18:0 (6-7BR) PC,CAS:324054-50-4
16:0-18:0 (9-10BR) PC,CAS:324054-52-6




齐岳微信公众号
官方微信
库存查询