CAS:1957236-20-2 Thalidomide-O-amido-PEG3-C2-NH2 PEG修饰剂
发布时间:2023-03-15  作者:LYQ  分享到:
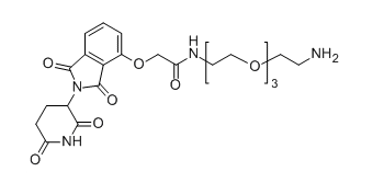
基本信息:
英文名称:Thalidomide-O-amido-PEG3-NH2
CAS No.:
1957236-20-2
英文别名:
Thalidomide-O-amido-PEG3-C2-NH2
产品纯度:
≥95%
分子式:
C23H30N4O9
外观:粘性液体或固体粉末,取决于分子量
分子量(PEG):根据客户需求定制
注意事项:在干燥的环境中取用,避免频繁的溶解和冻干
结构式:

简单介绍:
PEG衍生物溶于水、乙醇和许多其它有机溶剂。 蒸气压低,对热、酸、碱稳定。 与许多化学品不起作用。 有良好的吸湿性、润滑性、粘结性。 无毒,无刺激。
西安齐岳生物科技有限公司可供常规磷脂单体、PEG磷脂,改性磷脂,磷脂、聚合物磷脂、磷脂偶连无机纳米材料及微球类材料、单分散小分子PEG磷脂偶连产品,还可根据客户需要定制合成复杂及特殊的聚合物磷脂产品、两亲嵌段共聚物,磁性纳米颗粒,纳米金,荧光量子点及树枝状聚合物、PEG衍生物等等产品,更有许多的库存产品可供选择,详情请咨询客服。
包装: 瓶装
生产商:西安齐岳生物科技有限公司
产地:西安
用途:仅用于科学研究,非医疗目的,非药用,非食用
温馨提示:仅用于科研,不能用于人体!
产品推荐:
OH-DPPS
羟基-聚乙二醇-二棕榈酰磷脂酰丝氨酸
OH-PLGA
羟基-聚乙二醇-聚乳酸-羟基乙酸共聚物
OH-PCL
羟基-聚乙二醇-聚已内酯
OH-PLA
羟基-聚乙二醇-聚乳酸
OH-PAA




齐岳微信公众号
官方微信
库存查询