常用名 生物素 3-磺酸基-N-羟基琥珀酰亚胺钠盐
英文名 biotin sulfo-osu
CAS号 119616-38-5
分子量 443.42800
密度 1.64g/cm3
沸点 N/A

分子式 C14H18N3NaO8S2
熔点 N/A
产品简介:
基本概述
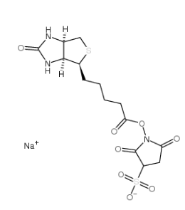
生物素-磺酸琥珀酰亚胺酯是一种常用的生物素化试剂,能够通过共价键将生物素引入到蛋白质、肽链或其他含氨基的分子上。生物素是一种水溶性维生素,其与亲和素或链霉亲和素具有很强的结合能力,这种高特异性的结合特性使得生物素-磺酸琥珀酰亚胺酯在标记、检测及分子捕获中被广泛应用。
化学结构与性质
该试剂由生物素分子通过一个水溶性磺酸连接臂与活性NHS酯(N-羟基琥珀酰亚胺)相连。NHS酯可与蛋白质或多肽的赖氨酸侧链自由氨基发生反应,生成稳定的酰胺键,从而完成生物素化。磺酸基团的存在增加了试剂的水溶性,使其能够在生理条件下直接溶解并反应,无需有机溶剂介入。
反应特性
生物素-磺酸琥珀酰亚胺酯能够在温和的pH条件下快速与氨基反应,通常在pH 7–9的缓冲体系中进行。反应后生成的酰胺键稳定,能够耐受大多数生物化学实验条件,包括温和加热和轻度有机溶剂环境。此外,磺酸基团不仅提高了水溶性,还降低了对有机溶剂的依赖,使操作更便捷且副反应较少。
应用领域
生物素-磺酸琥珀酰亚胺酯广泛应用于生物分子标记与检测实验。它可用于蛋白质或多肽的生物素化,便于后续通过亲和素-酶偶联体系进行检测或纯化。在免疫学研究中,该试剂可用于制备生物素标记抗体或抗原,以增强信号检测灵敏度。在细胞生物学和分子生物学中,也可用于膜蛋白或细胞表面分子的生物素化,便于后续分子捕获、免疫沉淀或。
储存与注意事项
生物素-磺酸琥珀酰亚胺酯一般为粉末状或冻干形式,易溶于水或缓冲液中。由于NHS酯对水敏感,储存时需避光、低温干燥环境下保存,并尽量避免长期暴露于水或湿气中,以保证活性。使用前通常溶解在适宜缓冲液中,并在短时间内完成反应,以保证生物素化效率。
小结
生物素-磺酸琥珀酰亚胺酯通过水溶性磺酸连接臂和活性NHS酯,实现了高效、温和的生物素化反应。凭借其水溶性、反应快速且生成物稳定的特性,它在蛋白质标记、分子捕获以及检测分析中具有广泛的应用价值,是实验室常用的生物标记工具之一。
来源产地:
本产品由陕西省西安市生产,品质可靠,可满足科研实验的需求
包装规格:
提供多种规格选择,瓶装包装灵活,用户可根据实验需求选择 50 mg、100 mg、250 mg 或 500 mg
产品形态:
可提供固体、粉末及溶液形式,适应不同实验操作需求
储存说明:
建议置于低温冷藏环境,避免光照和潮湿,以保持产品活性与性能稳定
品牌介绍:
西安齐岳生物科技有限公司专注于科研药物传递及纳米靶向技术的研发和生产。公司产品涵盖合成磷脂、PEG 系列衍生物、嵌段共聚物、纳米金属及磁性纳米颗粒、介孔二氧化硅、活性荧光染料、荧光量子点、点击化学试剂及大环配体等多个领域。秉持创新理念,致力于为国内科研机构和相关单位提供高质量科研试剂,支持科学研究的顺利开展。
(内容整理:小编kx,仅供科研用途)
产品推荐:
BODIPY FL carboxylic acid
60239-18-1,DOTA能与镧系金属钆结合形成配合物用作MRI造影剂
2382994-65-0 Sulfo-Cyanine5.5 azide
diSulfo-Cy3 alkyne,2055138-88-8
钠离子指示探针,ENG-2
CF 640R CTB
iFluor 750 WGA
DIG Styramide




齐岳微信公众号
官方微信
库存查询