英文名 tri-GalNAc-COOH
CAS号 1953146-81-0
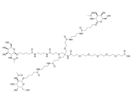
分子量 1735.91
分子式 C75H134N10O35

Tri-GalNAc-COOH,全称为三官能化N-乙酰半乳糖胺羧酸衍生物,是一种多糖类衍生化分子,其化学结构由三个N-乙酰半乳糖胺(GalNAc)单元通过特定的连接方式聚合而成,并在分子末端引入羧酸官能团。
Tri-GalNAc-COOH分子末端的羧酸官能团(–COOH)为其提供了反应活性,可以通过常见的化学耦合方法与胺类、醇类等含有活性基团的化合物形成酰胺键或酯键。这一特性使得Tri-GalNAc-COOH成为一个理想的连接平台,可与多种材料和化学修饰剂共价结合。通过这种方式,它可以被整合到更大分子体系中,例如共聚物、表面修饰材料以及纳米颗粒表面,赋予材料特定的功能性和识别能力。
在物理化学性质方面,Tri-GalNAc-COOH具有良好的热稳定性和水溶性,其分子量适中,使其在溶液中表现出较好的均一性和可控性。其羧酸末端在中性至弱碱性条件下呈离子化状态,这不仅增强了分子的水溶性,也为后续的化学偶联提供了便利。由于分子结构对溶液环境的敏感性,Tri-GalNAc-COOH可以在不同的溶剂体系中进行调控,这为制备功能性材料提供了更多的自由度。
Tri-GalNAc-COOH的应用范围主要集中在化学功能化和中。例如,在多价配体设计中,它可以通过多点修饰增强目标分子的结合能力。在表面修饰领域,它可以被固定在纳米颗粒、薄膜或支架表面,从而赋予这些材料特定的识别能力或改善其分散性。此外,其多官能化特性也使其在聚合物化学中成为良好的交联剂或功能化单元,可用于合成结构可控的共聚物体系。
关于我们:
西安齐岳生物科技有限公司是一家从事原料药、MOF,离子液体 ,PEG衍生物、科研试剂、多肽、光电材料、碳纳米管、纳米材料、脂质体、合成磷脂的研发、定制合成、生产和销售的高科技生物科技有限公司
相关推荐:
荧光染料690962-76-6,6-Rhodamine 6G COOH
钠离子探针Enhanced NaTRIUM Green-2 TMA+ Salt
Enhanced NaTrium Green-2AM
钠离子荧光探针129423-53-6,SBFI AM
CoroNa Green, AM
180144-70-1,6-Rhodamine 6G NHS
Cyanine2-Amine
Cyanine2-NHS,186205-33-4
NOTA-Maleimide cas:1295584-83-6




齐岳微信公众号
官方微信
库存查询