PEG衍生物 Mal-PEG8-OH 2353409-63-7 马来酰亚胺-八聚乙二醇
发布时间:2023-03-17  作者:LYQ  分享到:
产品描述:
PEG修饰剂随着平均分子量的不同,性质也有差异。从无色无臭粘稠液体至蜡状固体。随着分子量的增大,其吸湿能力相应降低。
基本信息:
中文名称:马来酰亚胺-八聚乙二醇
英文名称:Mal-PEG8-OH
CAS No.:
2353409-63-7
英文别名:
Mal-PEG8-alcohol
产品纯度:
≥95%
分子式:
C20H35NO10
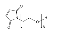
结构式:

西安齐岳生物科技有限公司可供常规磷脂单体、PEG磷脂,改性磷脂,磷脂、聚合物磷脂、磷脂偶连无机纳米材料及微球类材料、单分散小分子PEG磷脂偶连产品,还可根据客户需要定制合成复杂及特殊的聚合物磷脂产品、两亲嵌段共聚物,磁性纳米颗粒,纳米金,荧光量子点及树枝状聚合物、PEG衍生物等等产品,更有许多的库存产品可供选择,详情请咨询客服。
产品推荐:
Silane-PEG-ISC
硅烷-聚乙二醇-异氰酸酯
Silane-Dansyl
硅烷-聚乙二醇-丹磺酰氯
Silane-PEG-NBD
Silane-Cyanur
硅烷-聚乙二醇-氰尿酸
Silane-TRITC




齐岳微信公众号
官方微信
库存查询