Cas号:897383-62-9 Allitinib 抗氧化小分子
发布时间:2023-03-21     作者:LYQ   分享到:
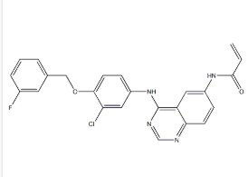
Allitinib
别名:
Cas号:897383-62-9
物化性质:
分子式:C24H18ClFN4O2
熔点:
分子量:448.88
结构式:

活性氧作用的靶标:
过量的活性氧可与线粒体电子传递链多种蛋白硫氧还中心的Fe-S簇的Cys残基反应,形成蛋白的S-谷胱甘肽化的加合物。过量的活性氧,可损伤生长因子、转录因子、蛋白质、核酸、糖类、脂类等。
纯度:≥97%
包装: 瓶装
供应商:西安齐岳生物科技有限公司
产地:西安
用途:仅用于科学研究,非医疗目的,非药用,非食用
温馨提示:仅用于科研,不能用于人体!
相关产品:
4-甲氨基安替比林,BR
4-(Methylamino)-antipyrine,BR
4-羟基-3,5-二甲氧基苄醇,≥97%
4-Hydroxy-3,5-dimethoxybenzyl alcohol,≥97%
48740 RP,98%
48740 RP,98%
4E1RCat,99%
4E1RCat,99%
4E2RCat ,≥98%




齐岳微信公众号
官方微信
库存查询