氢掺杂增强CoFe2O4的磁化性能
发布时间:2023-03-24  作者:zhn  分享到:
氢掺杂增强CoFe2O4的磁化性能
科研人员采用了离子液体门控(ILG)方法实现**的H掺杂以增强磁化。ILG通过施加正电压将质子插入材料中,同时导致电子掺杂以保持电荷中性。
图1. 离子液体门控诱导尖晶石CFO的质子插层和结构演化
(图片来源:Adv. Funct. Mater.)
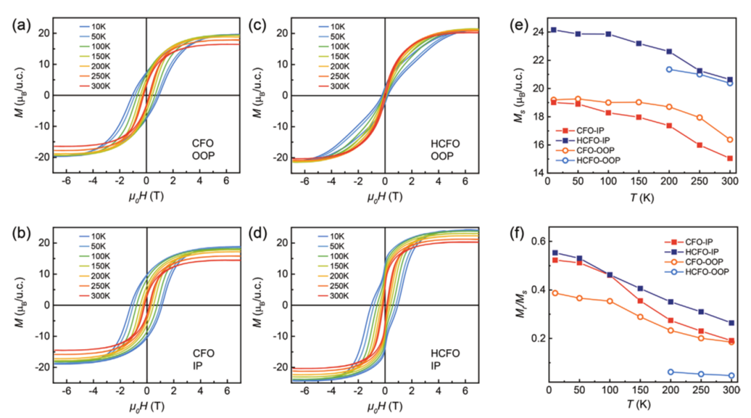
图2. ILG诱导氢掺杂对CFO磁化性能的影响
(图片来源:Adv. Funct. Mater.)
原文链接:
https://onlinelibrary.wiley.com/doi/abs/10.1002/adfm.202212298
原文作者:
Zhuolu Li, Yingjie Lyu, Zhao Ran, Yujia Wang, Yang Zhang, Nianpeng Lu, Meng Wang, Michel Sassi, Thai Duy Ha, Alpha T. N’Diaye, Padraic Shafer, Carolyn Pearce, Kevin Rosso, Elke Arenholz, Jenh-Yih Juang, Qing He, Ying-Hao Chu, Weidong Luo, and Pu Yu
DOI: 10.1002/adfm.202212298
以上资料来自互联网,如有涉及侵权,请联系我们进行删除,谢谢!
西安齐岳生物能提供的离子液体有:
| [C12Im]TS | 1-十二烷基咪唑对甲苯磺酸盐 | 1-DodecylImidazoliumTosylate | |
| [C12m]TfS | 1-十二烷基咪唑三氟甲磺酸盐 | 1-DodecylImidazoliumtriFluoroMethaneSulfonate | |
| [C12Im]NO3 | 1-十二烷基咪唑硝酸盐 | 1-DodecylImidazoliumNitrate | |
| [C12Im]Ac | 1-十二烷基咪唑醋酸盐 | 1-DodecylImidazoliumAcetate | |
| [C12Im]TfAc | 1-十二烷基咪唑三氟乙酸盐 | 1-DodecylImidazoliumtriFluoroAcetate | |
| [S1Y2S3Im]X | N1,N3-双对称取代咪唑型 | ||
| [(iC3)2Im]X | |||
| [(iC3)2Im]Cl | 139143-09-2 | 1,3-二异丙基咪唑氯盐 | |
| [(iC3)2Im]BF4 | 286014-34-4 | 1,3-二异丙基咪唑四氟硼酸盐 | |
| [(CNC1)2Im]X | |||
| [M2XIm]X | |||
| [M2ClIm]Cl | 37091-73-9 | 2-氯-1,3-二甲基咪唑氯盐 | |
| [M2ClIm]BF4 | 153433-26-2 | 2-氯-1,3-二甲基咪唑四氟硼酸盐 | |
| [M2ClIm]PF6 | 101385-69-7 | 2-氯-1,3-二甲基咪唑六氟磷酸盐 | |
| [M2FIm]PF6 | 164298-27-5 | 2-氟-1,3-二甲基咪唑六氟磷酸盐 |




齐岳微信公众号
官方微信
库存查询