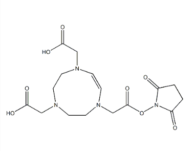
英文名称: 1H-1,4,7-Triazonine-1,4,7-triacetic acid, hexahydro-, 1-(2,5-dioxo-1-pyrrolidinyl) ester
中文名称: NOTA-NHS ESTER
MF: C16H24N4O8
MW: 400.38
CAS: 1338231-09-6

产品简介:
NOTA NHS Ester 是一种活性化学试剂,由 NOTA(三齿螯合剂)和 NHS 酯(N-hydroxysuccinimide ester) 末端组成。它将金属螯合能力与氨基偶联特性结合,可用于蛋白质修饰、抗体标记以及放射性标记探针构建。
NOTA 作为多齿螯合剂,能够与 64Cu、68Ga 等放射性金属同位素形成稳定的配合物。相比传统螯合剂,NOTA 的结构紧凑、螯合速率快、稳定性高,非常适合构建 PET/SPECT 探针。
NHS 酯末端具有高反应活性,可与蛋白质、抗体或多肽分子表面的自由氨基反应,形成稳定的酰胺键。反应条件温和,无需催化剂,不会破坏蛋白质结构和活性,便于在水溶液体系中使用。
NOTA NHS Ester 的主要应用包括:
蛋白质或抗体修饰:通过 NHS 酯端与氨基反应,将 NOTA 引入目标蛋白或抗体,为金属螯合和放射性标记提供可控位点。
放射性标记探针:偶联蛋白或抗体后,通过 NOTA 螯合金属同位素,可制备 PET/SPECT 探针,实现体内成像或靶向追踪。
多功能探针构建:可与荧光染料或纳米载体结合,实现联合成像或分子探针功能扩展。
NOTA NHS Ester 的优势包括:
温和反应条件:适合生物分子偶联,不破坏结构和功能。
高选择性:NHS 酯仅与氨基反应,偶联位点可控。
螯合稳定:NOTA 提供强螯合能力,保证放射性金属在体内稳定结合。
总体而言,NOTA NHS Ester 是一种兼具氨基偶联和金属螯合功能的化学工具,可用于蛋白质修饰、抗体标记及放射性探针构建。在分子成像、靶向研究及多模态探针设计中,它提供了可靠、高效的化学平台。
来源产地:中国 · 陕西 · 西安
包装规格:提供瓶装形式,常规规格包括 50 mg、100 mg、250 mg、500 mg,亦可根据实验需求提供定制包装。
产品形态:可提供固体、粉末或溶液三种形态,便于不同实验体系使用与操作。
储存说明:建议在低温避光、干燥环境下保存,以维持产品的稳定性和使用效果。
品牌介绍:西安齐岳生物科技有限公司专注于科研用药物递送与纳米材料相关技术的研发与生产。公司产品覆盖合成磷脂、PEG 衍生物、嵌段共聚物、纳米金属与磁性颗粒、介孔二氧化硅、活性荧光染料、荧光量子点、点击化学试剂及大环配体等多个系列。
齐岳生物秉承创新与质量并重的理念,为科研院所及相关实验单位提供可靠的试剂与材料支持,助力科学研究高效开展。
(资料整理:kx,仅限科研用途,不得用于人体、医疗或诊断。)
产品推荐:
DBCO-PEG-Alkyne
AF 594 Tomato lectin,AF 594 LEL
CAS:1422178-12-8,ROX azide, 6-isomer
Cyanine5 Lysozyme,Cy5溶菌酶
N-(Amino-PEG5)-N-bis(PEG4-acid),2093152-86-2
Dec-9-ynoic COOH(CAS:1642-49-5)9-癸炔酸
环二肽15136-34-2,cyclo(Leu-Trp),环(L-亮氨酰-L-色氨酰)
5'-Hexynyl Amidite,1048985-37-0
479081-06-6 双功能螯合剂Fmoc-L-Lys-mono-amide-DO
罗丹明标记的番茄凝集素,RB Tomato lectin




齐岳微信公众号
官方微信
库存查询