BCN-endo-PEG3-Biotin 1263166-92-2 (1R,8S,9S)-双环[6.1.0]壬-三聚乙二醇-生物素
发布时间:2023-03-31  作者:LYQ  分享到:
基本信息:
中文名称:(1R,8S,9S)-双环[6.1.0]壬-三聚乙二醇-生物素
英文名称:BCN-endo-PEG3-Biotin
CAS No.:
1263166-92-2
英文别名:
BCN-PEG3-Biotin
endo-BCN-PEG3-Biotin
产品纯度:
≥95%
分子式:
C29H46N4O7S
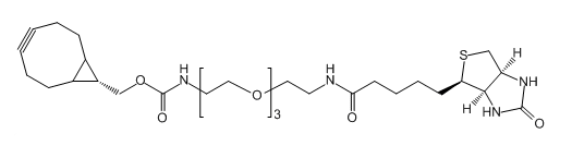
结构式:

产品简介:
PEG衍生物依分子量不同而性质不同,从无色无臭黏稠液体至蜡状固体。分子量200~600者常温下是液体,分子量在600以上者就逐渐变为半固体状。
纯度:≥95%
存储条件:-20°冷冻保存,惰性气体保护
取用:现配现用
状态:由于PEG分子量的不同,呈现的产品状态多为液体或粘稠状固体
温馨提示:仅用于科研,不能用于人体!
分子量: 350、550、750、1000、2000、3400、5000、10000
溶解性:
溶于大部分有机溶剂,如:DCM、DMF、DMSO、THF等等。在水中有很好的溶解性
西安齐岳生物科技有限公司供应定制合成磷脂、PEG磷脂、两亲嵌段共聚物,磁性纳米颗粒,纳米金,荧光量子点及树枝状聚合物、PEG衍生物等等产品.可供常规磷脂单体、PEG磷脂,改性磷脂,磷脂、聚合物磷脂、磷脂偶连无机纳米材料及微球类材料、单分散小分子PEG磷脂偶连产品,还可根据客户需要定制合成复杂及特殊的聚合物磷脂产品。
产品推荐:
丙烯酸酯-聚乙二醇-香菇多糖
ACRL-Chondroitin sulfate
丙烯酸酯-聚乙二醇-硫酸软骨素
ACRL-HRP
丙烯酸酯-聚乙二醇-辣根过氧化氢酶
ACRL-MTX
ACRL-PEG-Methotrexate
丙烯酸酯-聚乙二醇-甲氨蝶呤
ACRL-Paclitaxel
![BCN-endo-PEG3-Biotin 1263166-92-2 (1R,8S,9S)-双环[6.1.0]壬-三聚乙二醇-生物素-UDP糖丨MOF丨金属有机框架丨聚集诱导发光丨推荐西安齐岳生物](http://www.reconroofs.com/images/logo.png)



齐岳微信公众号
官方微信
库存查询