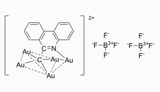
活性氧PAA5 分子量1348.66(一种以甲基化物碳为中心的多核Au(I)簇)
发布时间:2023-04-04  作者:axc  分享到:
活性氧PAA5 分子量1348.66(一种以甲基化物碳为中心的多核Au(I)簇)
PAA5 是一种以甲基化物碳为中心的多核 Au(I) 簇。
英文名称:PAA5
分子量:1348.66
分子式:C14H8Au5B2F8N2-
运输条件:常温运输
纯度:95%+
包装:瓶装/袋装
用途:科研
厂家:西安齐岳生物
结构式:

活性氧是指机体内或者自然环境中由氧组成, 含氧并且性质活泼的物质的总称:主要有一种激发态的氧分子,即一重态氧分子或称单线态氧分子(O2)。活性氧(reactive oxygen species,ROS)是体内有氧代谢的产物,它们可以参与脂质的过氧化 DNA 链的断裂 蛋白质的修饰变性,也参与或影响细胞内的信号转导和基因表达·
活性氧产品目录:
HKSOX-1 (5/6-mixture) Reactive Oxygen Species
cas:143556-24-5 L 012 sodium salt
cas:39800-16-3 4-Hydroperoxy cyclophosphamide
cas:34994-50-8 Resorufin sodium salt 试卤灵钠盐
cas:480-39-7 Pinocembrin 乔松素
温馨提示:可以根据储存条件,适当保存;体内实验的工作液,建议您现用现配,当天使用
以上资料来自小编axc,2023.03.28
以上文中提到的产品仅用于科研,不能用于人体及其他用途。




齐岳微信公众号
官方微信
库存查询