您当前所在位置:首页 > 资讯信息 > 新品上市
cas:507-89-1 Pennogenin 偏诺皂苷元 活性氧抑制剂
发布时间:2023-04-04     作者:axc   分享到:

cas:507-89-1 Pennogenin 偏诺皂苷元 活性氧抑制剂

Pennogenin 可从延龄草根茎中提取出。

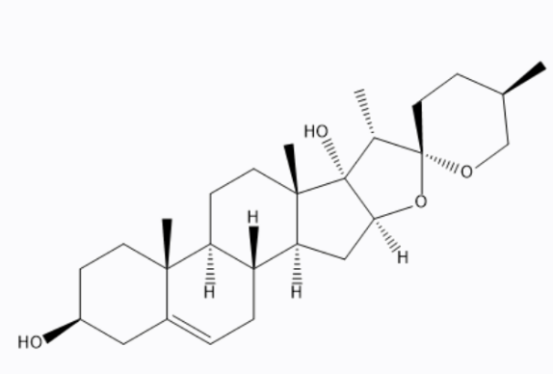
中文名称:偏诺皂苷元

英文名称:Pennogenin

分子量:430.62

性状:Solid

分子式:C27H42O4

cas:507-89-1

运输条件:常温运输

存储方式:4°C,密封储存,远离湿气和光线

在溶剂中:-80°C,6个月-20°C,1个月(密封储存,远离湿气和光线)

纯度:95%+

包装:瓶装/袋装

用途:科研

厂家:西安齐岳生物

结构式:

cas:507-89-1

活性氧(reactive oxygen species,ROS)广泛指代氧来源的自由基和非自由基,包含了超氧阴离子(O2-)、过氧化氢(H2O2)、羟自由基(OH-)、臭氧(O3)和单线态氧(1O2),由于它们含有不成对的电子,因而具有很高的化学反应活性。

活性氧产品目录:

8-氮杂腺嘌呤 Cas号:1123-54-2

8-OH-DPAT (8-Hydroxy-DPAT) Cas号:78950-78-4

8-Hydroxyguanosine Cas号:3868-31-3

8-Bromo-cAMP Cas号:76939-46-3

温馨提示:可以根据储存条件,适当保存;体内实验的工作液,建议您现用现配,当天使用

以上资料来自小编axc,2023.03.28

以上文中提到的产品仅用于科研,不能用于人体及其他用途。

库存查询
Baidu
map