您当前所在位置: 首页 > 资讯信息 > 新品上市
Glucosamine-13C6,15N (hydrochloride) 活性氧ROS小分子
发布时间:2023-04-04    &nbsp作者:axc  &nbsp分享到:

Glucosamine-13C6,15N (hydrochloride) 活性氧ROS小分子

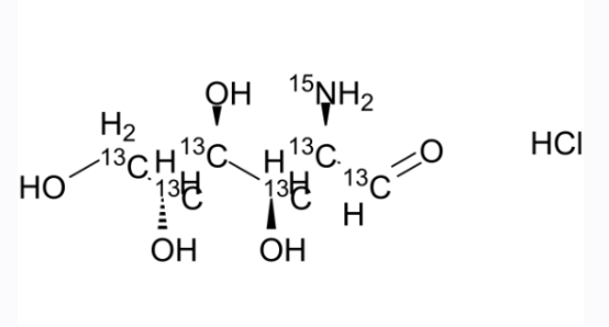
Glucosamine-13C6,15N (hydrochloride) 是 13C 和 15N 标记的 Glucosamine hydrochloride。 Glucosamine hydrochloride (D-Glucosamine hydrochloride) 是一种氨基糖, 是糖基化蛋白和脂质生化合成的突出前体,

中文名称:盐酸氨基葡萄糖 13C6,15N

别称: 氨基葡萄糖盐酸盐 13C6,15N; D-氨基葡萄糖盐酸盐 13C6,15N

英文名称:Glucosamine-13C6,15N (hydrochloride)

分子量:222.58

分子式:13C6H14Cl15NO5

运输条件:常温运输

纯度:95%+

包装:瓶装/袋装

用途:科研

厂家:西安齐岳生物

结构式:

盐酸氨基葡萄糖 13C6,15N

活性氧(reactive oxygen species,ROS)广泛指代氧来源的自由基和非自由基,包含了超氧阴离子(O2-)、过氧化氢(H2O2)、羟自由基(OH-)、臭氧(O3)和单线态氧(1O2),由于它们含有不成对的电子,因而具有很高的化学反应活性。

活性氧产品目录:

7ACC2 Cas号:1472624-85-3

79-6 (CID5721353, BCL6 inhibitor) Cas号:301356-95-6

7-羟基-4-色酮 Cas号:59887-89-7

7-Hydroxy-4-methyl-8-nitrocoumarin Cas号:19037-69-5

温馨提示:可以根据储存条件,适当保存;体内实验的工作液,建议您现用现配,当天使用

以上资料来自小编axc,2023.03.28

以上文中提到的产品仅用于科研,不能用于人体及其他用途。

库存查询
Baidu
map