中文名称:聚醚多元醇
别名:聚丙二醇200、聚醚多元醇
英文简称:PPG200
聚醚多元醇的描述:
聚醚多元醇一般为透明粘稠液体,无挥发性,颜色为无色,微黄色,黄色等等。聚醚多元醇比水重,可与水任意比例混合,能溶于醇类等有机溶剂。聚醚多元醇(简称聚醚)是由起始剂(含活性氢基团的化合物)与环氧乙烷(EO)、环氧丙烷(PO)、环氧丁烷(BO)等在催化剂存在下经加聚反应制得。
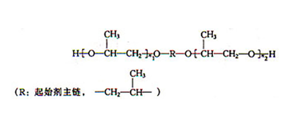
聚醚多元醇结构式:

聚醚多元醇的作用:
(1)作低泡沫洗涤剂或消泡剂
(2)聚醚毒性很低,常用作药物赋形剂和乳化剂;在口腔、鼻喷雾剂、眼、耳滴剂和洗发剂中都经常使用。
(3)聚醚是**的润湿剂,可用于织物的染色、照相显影和电渡的酸性裕中,在糖厂使用F68,由于水的渗透性增加,可获得更多的糖分。
(4)聚醚是有用的抗静电剂,L44可对合成纤维提供持久的静电防护作用。
(5) 聚醚在乳状液涂料中作分散剂。F68在醋酸乙烯乳液聚合时作乳化剂。L62、L64可作农药乳化剂,在金属切削和磨削中作冷却剂和润滑剂。在橡胶硫化时作润滑剂。
(6)聚醚可用作原油破乳剂,L64、F68能**地防止输油管道中硬垢的形成,以及用于次级油的回收。
(7)聚醚可用作造纸助剂,F68能**地提高铜版纸的质量。
(8)F38可用作乳化剂、润湿剂、消泡剂、破乳剂、分散剂、抗静电剂、除尘剂、粘度调节剂、控泡剂、匀染剂、胶凝剂等,用于生产农用化学药品、化妆品、药品;还用于金属加工净洗、纸浆和造纸工业、纺织品加工(纺织、整理、染色、柔软整理)、水质处理;也用作漂清助剂。
用途:用于医学研究,药物释放,纳米技术和新材料研究。
供应商:西安齐岳生物科技有限公司
生产地址:西安
温馨提示:本品仅用于科研实验,不可用于诊治,欢迎咨询!
西安齐岳生物科技有限公司供应定制合成磷脂、PEG磷脂、两亲嵌段共聚物,磁性纳米颗粒,纳米金,荧光量子点及树枝状聚合物、PEG衍生物等等产品。
相关产品推荐:
甲苯磺酸酯-聚乙二醇-菁染料CY5.5
Tosyl-Cyanine7
Tosyl-PEG-CY7
甲苯磺酸酯-聚乙二醇-菁染料CY7
Tosyl-Cyanine7.5
Tosyl-PEG-CY7.5
甲苯磺酸酯-聚乙二醇-菁染料CY7.5




齐岳微信公众号
官方微信
库存查询