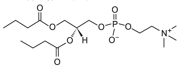
04:0 PC|1,2-dibutyryl-sn-glycero-3-phosphocholine|PC磷脂
发布时间:2023-04-10     作者:axc   分享到:
04:0 PC|1,2-dibutyryl-sn-glycero-3-phosphocholine|PC磷脂
产品名称:07:0 PC (DHPC)|1,2-diheptanoyl-sn-glycero-3-phosphocholine
纯度:95%+
存储条件:-20°C
外观:固体或液体
包装:瓶装/袋装
溶解性:溶于大部分有机溶剂
用途:科研
磷脂(phospholipid)由C、H、O、N、P五种元素组成,是生物膜的重要组成部分,其特点是在水解后产生含有脂肪酸和磷酸的混合物。根据磷脂的主链结构分为磷酸甘油脂和鞘磷脂。
结构式

相关产品:
DLPC (12:0 PC) 二月桂酰磷脂酰胆碱
1,2-Dilauroyl-sn-glycero-3-phosphorylcholine CAS:18194-25-7
DMPC (14:0 PC) 二肉豆蔻酰磷脂酰胆碱
1,2-Dimyristoyl-sn-glycero-3-phosphorylcholine CAS:18194-24-6
以上资料来自小编axc,2023.04.04
以上文中提到的产品仅用于科研,不能用于人体。




齐岳微信公众号
官方微信
库存查询