14:0-14:0-d27 PC|1-myristoyl-2-myristoyl-d27-sn-glycero-3-phosphocholine磷脂
发布时间:2023-04-10  作者:axc  分享到:
14:0-14:0-d27 PC|1-myristoyl-2-myristoyl-d27-sn-glycero-3-phosphocholine磷脂
产品名称:14:0-14:0-d27 PC|1-myristoyl-2-myristoyl-d27-sn-glycero-3-phosphocholine
存储条件:-20°C
外观:固体或液体
包装:瓶装/袋装
溶解性:溶于大部分有机溶剂
用途:科研
磷脂根据甘油骨架的不同可以分为磷酸甘油脂(glycerolphospholipid)和鞘磷脂(sphingolipid)。它们都是极性脂。极性脂由极性部分(叫做极性头)和非极性部分(叫做非极性尾)组成。其中,甘油磷脂又可以根据极性头部集团的不同区分为磷脂酰胆碱(Phosphatidyl cholines,PC)、磷脂酰乙醇胺(Phosphatidyl ethanolamines,PE)、磷脂酰丝氨酸(Phosphatidyl serines,PS)、磷脂酰肌醇(Phosphatidyl inositols,PI)、磷脂酰甘油(PG)、甘油磷脂酸(phosphatidic acid,PA)等
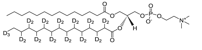
结构式
相关产品:
DSPE-PEG-Insulin 胰岛素修饰聚乙二醇PE磷脂-
DSPE-PEG-Heparin 肝素修饰聚乙二醇PE磷脂
DSPE-PEG-Ficoll 聚蔗糖修饰聚乙二醇16:0 PE磷脂
DSPE-PEG-Inulin 菊粉修饰聚乙二醇16:0 PE磷脂
以上资料来自小编axc,2023.04.04
以上文中提到的产品仅用于科研,不能用于人体。




齐岳微信公众号
官方微信
库存查询