cas:464926-03-2 MVL5 一种DNA和siRNA载体
发布时间:2023-04-12     作者:axc   分享到:
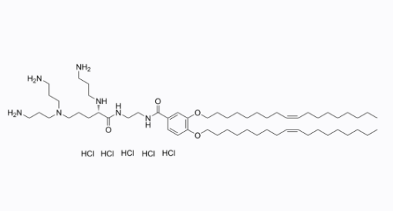
cas:464926-03-2 MVL5 一种DNA和siRNA载体
MVL5 是一种不可降解的多价阳离子脂质。MVL5 是一种**的 DNA 和 siRNA 载体。
英文名称:MVL5
分子量:1164.86
性状:Oil
分子式:C59H116Cl5N7O4
cas:464926-03-2
运输条件:常温运输
储存方式
4°C,密封储存,远离湿气
在溶剂中:-80°C,6个月-20°C,1个月(密封储存,远离湿气)
结构式

西安齐岳生物科技有限公司是磷脂类产品生产厂家,产品纯度均在99%+,并有相应的液相/核磁/质谱检测。同时可以定制、合成上百种磷脂产品,产品目录如下:
DSPE-PEG-CY5 CY5-聚乙二醇-二硬脂酰基磷脂酰乙醇胺
1,2-distearoyl-sn-glycero-3-phosphoethanolamine-N-polyethylene glycol-CY5
DSPE-PEG-CY7 CY7-聚乙二醇-二硬脂酰基磷脂酰乙醇胺
1,2-distearoyl-sn-glycero-3-phosphoethanolamine-N-polyethylene glycol-CY7
DSPE-PEG-ICG 吲哚菁绿-聚乙二醇-二硬脂酰基磷脂酰乙醇胺
1,2-distearoyl-sn-glycero-3-phosphoethanolamine-N-polyethylene glycol-ICG
以上资料来自小编axc,2023.04.12
以上文中提到的产品仅用于科研,不能用于人体。




齐岳微信公众号
官方微信
库存查询