Alkyne-PEG5-NHS CAS:1393330-40-9 炔基-聚乙二醇-活性酯 PEG修饰剂
发布时间:2023-04-13     作者:LYQ   分享到:
产品信息:
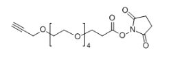
英文名称:Alkyne-PEG5-NHS
CAS No.:
1393330-40-9
英文别名:
Propargyl-PEG5-NHS ester
产品纯度:
≥95%
分子式:
C18H27NO9
结构式:

描述:
聚乙二醇可与氧化淀粉、硝基纤维素、聚醋酸乙烯酯和玉米朊配伍或部分配伍。与蜂蜡、蓖麻油、明胶、阿拉伯胶,矿物油、橄榄油和石蜡等不互溶。
储存方式:-5°C以下保存,干燥,避光
分散系数:小于等于1.05
溶剂:氯仿,DMSO等部分有机溶剂。
产品规格:500mg/1g/5g/10g
用途:用于医学研究,药物释放,纳米技术和新材料研究
供应商:西安齐岳生物科技有限公司
生产地址:西安
温馨提示:本品仅用于科研实验,不可用于诊治,欢迎咨询!
西安齐岳生物科技有限公司是国内的高分子聚合物合成厂家,我公司可以提供各种不同的聚合物的嵌段共聚,有均聚物,嵌段共聚物,星形聚合物等,聚合物包括有PEG、PLGA、PLA、PCL、PS、PLL,PtBA,PMMA,PAA,P4VP,P2VP,PNIPAAm,聚赖氨酸、聚谷氨酸、聚天冬氨酸、PEI、以及其他基团或者多肽聚合物,种类多,可提供定制服务。
相关产品推荐:
Aminooxy-Protected Amines (FMOC, tBOC)
Aminooxy-CHEMS
氨甲基-聚乙二醇-半琥珀酸胆固醇
Aminooxy-Phenyl
氨甲基-聚乙二醇-苯基
Aminooxy-phosphoric acid




齐岳微信公众号
官方微信
库存查询