NHS-PEG9-NHS 1008402-79-6 Bis-PEG9-NHS PEG衍生物
发布时间:2023-04-17     作者:LYQ   分享到:
产品信息:
英文名称:NHS-PEG9-NHS
CAS No.:
1008402-79-6
英文别名:
Bis-PEG9-NHS
产品纯度:
≥95%
分子式:
C30H48N2O17
状态:固体或粘稠液体,取决于分子量大小
保存时间 1年
端基取代率:≥95%
分子量(PEG):其他分子量或规格可定制
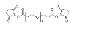
结构式:

产品介绍:
聚乙二醇是一种高分子聚合物,化学式是HO(CH2CH2O)nH,无刺激性,具有良好的水溶性,并与许多有机物组分有良好的相溶性。具有优良的润滑性、保湿性、分散性、粘接性,可作为抗静电剂及柔软剂等使用。
生产地址:西安
温馨提示:本品仅用于科研实验,不可用于诊治,欢迎咨询!
西安齐岳生物科技有限公司是国内的高分子聚合物合成厂家,我公司可以提供各种不同的聚合物的嵌段共聚,有均聚物,嵌段共聚物,星形聚合物等,聚合物包括有PEG、PLGA、PLA、PCL、PS、PLL,PtBA,PMMA,PAA,P4VP,P2VP,PNIPAAm,聚赖氨酸、聚谷氨酸、聚天冬氨酸、PEI、以及其他基团或者多肽聚合物,种类多,可提供定制服务。
相关产品推荐:
NPC-SH
NPC-PEG-Thiol
硝基苯碳酸盐-聚乙二醇-巯基
NPC-Biotin
硝基苯碳酸盐-聚乙二醇-生物素
NPC-CHO
NPC-PEG-aldehyde




齐岳微信公众号
官方微信
库存查询