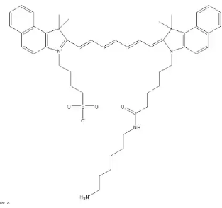
ICG-NH2 CAS:1686147-55-6 吲哚菁绿-氨基
英文名:ICG amine
别称: ICG-NH2
中文名:吲哚菁绿-氨基
CAS:1686147-55-6
分子式:C47H56N4O4S
分子量:773.04
外观:绿色粉末
溶解度:二氯甲烷
纯度:95%+

其它ICG偶联产品简介:
(1)ICG-COOH
(2)Amino-reactive ICG-OSu derivatives (labeling the amine groups)
ICG-OSu是的结合亲核试剂,特别是与各种生物分子底物(抗体、蛋白质、肽和酶等)和含有氨基官能团小分子结合,实现。
(3)ICG-Maleimide (labeling the thiol groups of cysteine residues)
马来酰亚胺基团(Maleimide)特异性结合来自各种各种生物分子底物(抗体、蛋白质、肽和酶等)和小分子上的半胱氨酸的硫醇基团,实现特异性的。
(4)ICG-Azide (labeling easily through click reaction)
ICG Azide可用于铜催化的点击反应,与各种生物分子底物(抗体、蛋白质、肽和酶等)和带有炔基的小分子反应,实现特异性的。
(5)ICG-DBCO (labeling easily through copper-free click reaction)
DBCO是一种受约束的炔烃,它在无铜的点击反应中与叠氮化物反应,其可以连接在各种生物分子底物(抗体、蛋白质、肽和酶等)或小分子上,实现特异性的。
相关产品:
ICG-PEG-NH2
ICG-PEG-MAL
ICG-PEG-NHS
ICG-PEG-COOH
ICG-PEG-Folate
ICG-PEG-N3
ICG-PEG-SH




齐岳微信公众号
官方微信
库存查询