DSPE-PEG-N3,MW:2000|叠氮-聚乙二醇-磷脂|Azide-PEG-DSPE
发布时间:2023-04-18     作者:zyl   分享到:
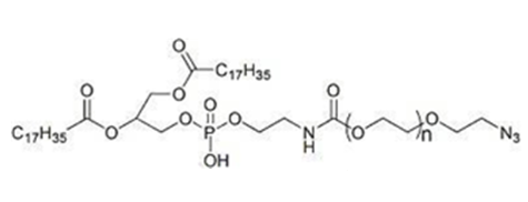
1、名称
英文:Azide-PEG-DSPE,N3-PEG-DSPE
中文:叠氮-聚乙二醇-磷脂
2、CAS编号:N/A
3、所属分类:Azide PEG DSPE PEG
4、分子量:可定制,Azide-PEG-DSPE 2000、叠氮-聚乙二醇-磷脂 5000、Azide-PEG-DSPE 1000、叠氮-PEG-磷脂 3400、N3-PEG-DSPE 10000、N3-PEG-DSPE 20000、
5、质量控制:95+%
6、储存: -20℃可长期保存,注意避光并置于干燥处
提示:避免频繁的溶解和冻干,现取现用

DSPE-PEG-N3是一种磷脂PEG衍生物,用于脂质体制备,磷脂化聚乙二醇结合具有亲水性和疏水性,聚乙二醇磷脂脂质体形成优质材料,能够用于药物输送、基因转染和疫苗传递。聚乙二醇化磷脂可以明显的改善血循环时间和稳定封装药物。叠氮功能化PEG可以和含有炔基的材料在铜离子的催化下反应,也可以和DBCO直接反应,不需要任何催化剂。
相关产品:
DBCO-PC-4arm PEG
DSPE-PEG-DBCO
Cu-DOTA 铜离子-二苄基环辛炔
HS-PEG-DBCO
DBCO-PEG4-NHS
DBCO-DOTA-Eu铕离子
BiotinPEG3-SS-DBCO
二苄基环辛炔 ( DBCO ) -PEG -TCO
DBCO-PEG4-MAL 马来酰亚胺
DBCO-Peg5-NHS
DBCO-NHS N-羟基琥珀酰亚胺




齐岳微信公众号
官方微信
库存查询