MPEG-DSPE 甲氧基聚乙二醇-二硬脂酰基磷脂酰乙醇胺|PEG磷脂定制服务
发布时间:2023-04-19     作者:axc   分享到:
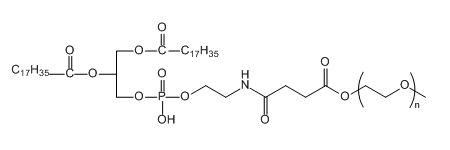
MPEG-DSPE 甲氧基聚乙二醇-二硬脂酰基磷脂酰乙醇胺|PEG磷脂定制服务
英文名称:1,2-distearoyl-sn-glycero-3-phosphoethanolamine-N-polyethylene glycol-m
简称:MPEG-DSPE
中文名称:甲氧基聚乙二醇-二硬脂酰基磷脂酰乙醇胺
纯度:95%+
存储条件:-20°C保存
外观:固体或液体,取决于分子量
包装:瓶装/袋装
用途:科研
结构式

磷脂酰胆碱是细胞膜和肺部表面活性物质的重要成分,在磷脂双分子层的外叶上更为常见。磷脂酰胆碱转移酶是将磷脂酰胆碱在膜与膜之间运输的载体。
相关产品:
DSPC-Se-Se-His 二硬脂酰基磷脂酰胆碱-双硒键-聚乙二醇-组氨酸
DSPC-Hyd-Glu 二硬脂酰基磷脂酰胆碱-腙键-聚乙二醇-谷氨酸
DSPC-TK-Lys 二硬脂酰基磷脂酰胆碱-酮缩硫醇键--聚乙二醇-赖氨酸
DSPC-SS-PEG-Thr 二硬脂酰基磷脂酰胆碱-双硫键-聚乙二醇-苏氨酸
DSPC-Se-Se-Leu 二硬脂酰基磷脂酰胆碱-双硒键-聚乙二醇-亮氨酸
以上资料来自小编axc,2023.04.14




齐岳微信公众号
官方微信
库存查询