Thalidomide-O-PEG4-t-butyl ester 2411681-87-1 萨力多胺-O-四聚乙二醇-叔丁酯
发布时间:2023-04-19     作者:LYQ   分享到:
产品信息:
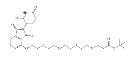
中文名称:沙利度胺-O-四聚乙二醇-叔丁酯
英文名称:Thalidomide-O-PEG4-t-butyl ester
CAS No.:
2411681-87-1
中文别名:
萨力多胺-O-四聚乙二醇-叔丁酯
结构式:

描述:
聚乙二醇可与氧化淀粉、硝基纤维素、聚醋酸乙烯酯和玉米朊配伍或部分配伍。与蜂蜡、蓖麻油、明胶、阿拉伯胶,矿物油、橄榄油和石蜡等不互溶。
状态:固体或粘稠液体,取决于分子量大小
保存时间 1年
端基取代率:≥95%
包装:瓶装
厂家:西安齐岳生物科技有限公司
生产地址:西安
温馨提示:仅适用于科研
西安齐岳生物科技有限公司提供各种合成磷脂,高分子PEG衍生物,小分子聚乙二醇,USPIO超顺磁性氧化铁纳米颗粒,纳米金,纳米金棒,树枝状聚合物,荧光染料及交联剂等等产品。
相关产品推荐:
硝基苯碳酸盐-聚乙二醇-黄原胶
NPC-Fucoidan
硝基苯碳酸盐-聚乙二醇-岩藻多糖
NPC-Xylan
硝基苯碳酸盐-聚乙二醇-木聚糖
NPC-Cellobiose
硝基苯碳酸盐-聚乙二醇-纤维二糖
NPC-Lentinan




齐岳微信公众号
官方微信
库存查询