NHS-SS-NHS,活性酯-双硫键-活性酯,双端活性酯中间双硫键交联剂
发布时间:2023-04-19     作者:zyl   分享到:
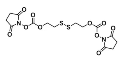
名称:NHS-SS-NHS
中文名称:活性酯-双硫键-活性酯
琥珀酰亚胺-双硫键-琥珀酰亚胺
分子式 :C14H16N2O10S2
分子量 :436.41
存储条件:-20°C,避光,避湿
用 途:仅供科研实验使用,不用于诊治
外观: 固体或粘性液体,取决于分子量
注意事项:取用一定要干燥,避免频繁的溶解和冻干

在化学上,二硫键(disulfide bond)是一条从结合硫醇而衍生的单共价键,大部分用于生物化学的范畴。
同时,二硫键也是一种在蛋白质中大量存在的动态共价键,将二硫键引入前药结构中,可以发挥增强前药分子结构柔性、赋予前药响应微环境氧化还原信号的作用。
长期以来,二硫键一直被用作设计前药自组装纳米递送系统的“黄金标准"。目前,关于二硫键的研究非常多,这也为二硫键作为“黄金标准"的广泛应用提供了支撑。
相关产品:
NHS-SS-NHS
N3-SS-N3
Mal-SS-NHS
DBCO-SS-COOH
DBCO-SS-NH2
DBCO-SS-Biotin
DBCO-SS-NHS
DBCO-SS-Mal
Biotin-SS-azide
Biotin-SS-Sulfo-NHS
Mal-SS-NH2
Biotin-SS-Sulfo-NHS
mPEG-SS-NH2




齐岳微信公众号
官方微信
库存查询