CAS:1835759-85-7 羧基-四聚乙二醇-丙酸叔丁酯 COOH-PEG4-OtBu PEG衍生物
发布时间:2023-04-20     作者:LYQ   分享到:
产品信息:
中文名称:羧基-四聚乙二醇-丙酸叔丁酯
英文名称:COOH-PEG4-OtBu
CAS No.:
1835759-85-7
质量:95%+
分子量:我们提供常规的分子量,也可以根据客户需求进行定制
分散系数:小于等于1.05
溶剂:氯仿,DMSO等部分有机溶剂。
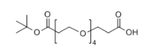
结构式:

简介:
聚乙二醇(PEG),也称为聚环氧乙烷(PEO)或聚氧乙烯(POE),是指环氧乙烷的寡聚物或聚合物。根据分子量的不同,聚乙二醇可为液体或低熔点固体。由于链长的影响,不同分子量的聚乙二醇往往有不同的物理性质和应用,但大部分的聚乙二醇化学性质是相似的。
包装:瓶装
厂家:西安齐岳生物科技有限公司
生产地址:西安
温馨提示:仅适用于科研
西安齐岳生物科技有限公司可供常规磷脂单体、PEG磷脂,改性磷脂,磷脂、聚合物磷脂、磷脂偶连无机纳米材料及微球类材料、单分散小分子PEG磷脂偶连产品,还可根据客户需要定制合成复杂及特殊的聚合物磷脂产品、两亲嵌段共聚物,磁性纳米颗粒,纳米金,荧光量子点及树枝状聚合物、PEG衍生物等等产品,更有许多的库存产品可供选择,详情请咨询客服。
相关产品推荐:
SAS-PEG-Amine
烷基磺酸盐-聚乙二醇-氨基
SAS-COOH
SAS-PEG-carboxyl
烷基磺酸盐-聚乙二醇-羧酸
SAS-MAL
SAS-PEG-Maleimide
烷基磺酸盐-聚乙二醇-马来酰亚胺
SAS-NHS




齐岳微信公众号
官方微信
库存查询