endo-BCN-PEG4-CH2CH2COOtBu 1807501-83-2 小分子PEG
发布时间:2023-04-20  作者:LYQ  分享到:
产品信息:
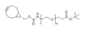
英文名称:endo-BCN-PEG4-CH2CH2COOtBu
CAS No.:
1807501-83-2
质量:95%+
分子量:我们提供常规的分子量,也可以根据客户需求进行定制
分散系数:小于等于1.05
溶剂:氯仿,DMSO等部分有机溶剂。
结构式:

小分子PEG的介绍:
小分子PEG是指PEG以2个或2个以上的重复单元相连接而成,他们不同于高分子PEG,他们的分子量都是固定值,而分子量的大小跟重复单元相关,重复单元越高,分子量越大,因为他们不是高分子聚合物的PEG,而是一种小分子的重复单元PEG衍生物,因此他们常常是一种纯的小分子PEG产品,可以用纯度和CAS号来标识他们。
包装:瓶装
厂家:西安齐岳生物科技有限公司
生产地址:西安
温馨提示:仅适用于科研
我公司可以提供各种高分子PEG衍生物,分子量从1000-20000不等,涉及甲氧基PEG|氨基PEG|羧基PEG|巯基PEG|叠氮PEG|八臂PEG|四臂PEG|活性酯PEG|叶酸PEG|生物素PEG|马来酰亚胺PEG|荧光素PEG|罗丹明PEG|丙烯酸酯PEG|磷脂PEG|琥珀酰亚胺PEG|炔基PEG|羟基PEG|叶酸PEG|硅烷PEG等基团,同时我公司新推出了单分散的小分子量PEG/PEO衍生物,PEG/PEO的重复单元从2个-24个不等。
相关产品推荐:
烷基磺酸盐-聚乙二醇-炔基
SAS-SH
SAS-PEG-Thiol
烷基磺酸盐-聚乙二醇-巯基
SAS-Biotin
烷基磺酸盐-聚乙二醇-生物素
SAS-CHO
SAS-PEG-aldehyde




齐岳微信公众号
官方微信
库存查询