ICG-SH,ICG-Thiol,吲哚菁绿-巯基,巯基功能化吲哚菁绿,靛氰绿-巯基
发布时间:2023-04-20  作者:zyl  分享到:
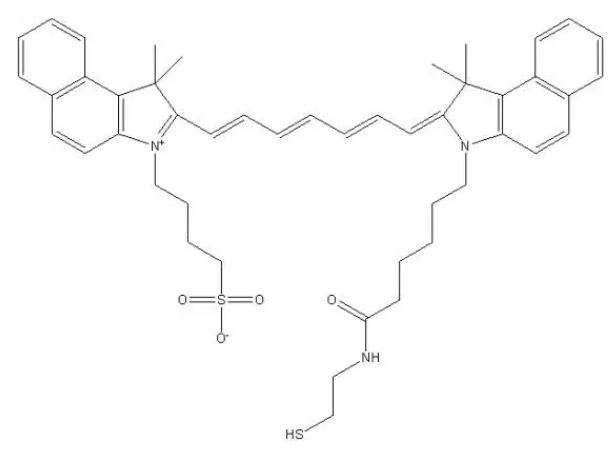
ICG-SH,ICG-Thiol,吲哚菁绿-巯基
英文名:ICGThiol;ICG-SH
中文名:吲哚菁绿-巯基;靛氰绿-巯基
外观:绿色粉末
纯度:95%+
IndocyanineGreen,ICG,吲哚菁绿CAS:3599-32-4花菁染料,ICG染料比CY系列的花菁染料较性更低,安全性更好及更好的光稳定性,
ICG是一种带负电荷的聚甲基菁染料,跟CY3,CY5,CY7这些菁染料不同的是他有这更高的吸收和发射波长,它的波长是800nm,虽然ICG的跟CY7.5的波长接近,但ICG却有着CY7.5无法达到的血红细胞结合能力。
IndocyanineGreen,ICG,吲哚菁绿CAS:3599-32-4是一种三碳菁染料,具有良好的水溶性,分子量为775,吲哚菁绿完全可以在血浆和全血液中几乎完全与血浆蛋白结合,可以保证其几乎完全留在血管中,不易向外扩散,因此被作为一种常用的血管造影剂使用。

相关产品:ICG-BSA
ICG-Streptavidin
ICG-PEG-NH2
ICG-PEG-COOH
ICG-PEG-MAL
ICG-PEG-NHS
ICG-PEG-Biotin
ICG-PEG-Folate
ICG-PEG-SH
ICG-PEG-alkyne
ICG-PEG-N3
ICG-PEG-DSPE
ICG-PEG-OH
Gold Nanoparticles Au-PEG2000-ICG
Fe3O4Magnetic nanoparticles-ICG
PAMAM-ICG




齐岳微信公众号
官方微信
库存查询