聚甲基丙烯酸甲酯-叠氮基|PMMA-N3 | PMMA-BzN3
发布时间:2023-04-20     作者:zyl   分享到:
中文名称:聚甲基丙烯酸甲酯-叠氮基
英文简称:PMMA-N3 | PMMA-BzN3
英文全称:Poly(methyl methacrylate), ω-azide-terminated (by anionic)
CAS号:n/a; PMMA: 9011-14-7
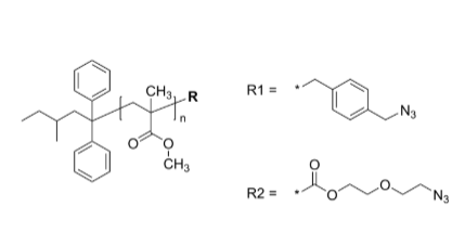
分子式:C18H21[C5H8O2]nN3
主链结构:直链均聚物
主要成分:PMMA
亲疏水性:疏水
产品类型:端基功能化修饰高分子
荧光/发光:无
外观/形态:固态粉末或颗粒(以实际外观为准)
纯度:≤ 100%
结构式:

西安齐岳生物科技有限公司是国内的高分子聚合物合成厂家,我公司可以提供各种不同的聚合物的嵌段共聚物,有均聚物,嵌段共聚物,星形聚合物等,聚合物包括有PEG、PLGA、PLA、PCL、PS、PLL,PtBA,PMMA,PAA,P4VP,P2VP,PNIPAAm,聚赖氨酸、聚谷氨酸、聚天冬氨酸、PEI、以及其他基团或者多肽聚合物,种类多,可提供定制服务。
相关产品:
八臂聚乙二醇叠氮 8ARM-PEG-N3
Tetrazine-PEG-Folate 四嗪聚乙二醇叶酸
甲氧基聚乙二醇叠氮 mPEG-N3
叔丁氧酰胺聚乙二醇炔基 tBoc-NH-PEG-Alkyne
Tetrazine-PEG-SH 四嗪聚乙二醇巯基
二叠氮聚乙二醇 N3-PEG-N3
BCN-PEG-NH2 环丙烷环辛炔聚乙二醇氨基
(4E)-TCO-PEG4-NHS ester 反式环辛烯-四乙二醇-活性酯
BCN-PEG-COOH 环丙烷环辛炔聚乙二醇羧基
氨基聚乙二醇叠氮 NH2-PEG-N3
BCN-PEG-Maleimide 环丙烷环辛炔聚乙二醇马来酰亚胺




齐岳微信公众号
官方微信
库存查询