OPSS-PEG2000-COOH/Acid;巯基吡啶-聚乙二醇-羧基COOH-PEG2k-OPSS
发布时间:2023-04-21  作者:zyl  分享到:
英文名称:OPSS-PEG-COOH
OPSS-PEG-Acid
中文名称:巯基吡啶-聚乙二醇-羧基
分子量:1k,2k,3.4k,5k,10k,20k(可按需定制)
质量控制:95%+
存储条件:-20°C,避光,避湿
用 途:仅供科研实验使用,不用于诊治
外 观:粘稠液体或者固体粉末,取决于分子量
注意事项:取用一定要干燥,避免频繁的溶解和冻干
溶解性:溶于大部分有机溶剂,如:DCM、DMF、DMSO、THF等等。在水中有很好的溶解性
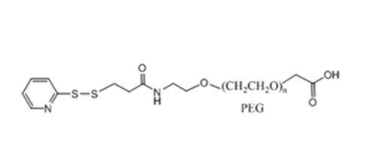
结构式:

聚乙二醇可通过共价连接至蛋白质上进行化学修饰。蛋白质聚乙二醇修饰化可改变蛋白质生物化学特性,包括分子大小,疏水性及电荷等,从而增加蛋白水溶性和稳定性
相关推荐:
氨基-聚乙二醇-羧基, NH2-PEG-COOH
活性酯-聚乙二醇-羧基, NHS-PEG-COOH
FMOC氨基-聚乙二醇-羧基,Fmoc-NH-PEG-COOH
丙烯酰-聚乙二醇-羧基, Acryloyl-PEG-COOH
生物素-聚乙二醇-羧基, Biotin-PEG-COOH
荧光素-聚乙二醇-羧基, FITC-PEG-COOH
罗丹明-聚乙二醇-羧基, RB-PEG-COOH
CY5--聚乙二醇-羧基, Cy5-PEG-COOH




齐岳微信公众号
官方微信
库存查询