Fmoc-NH-PEG6-NHS 1818294-31-3 PEG衍生物
发布时间:2023-04-23  作者:LYQ  分享到:
产品信息:
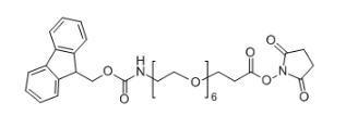
英文名称:Fmoc-NH-PEG6-NHS
CAS No.:
1818294-31-3
产品纯度:
≥95%
分子式:
C34H44N2O12
分散系数:小于等于1.05
溶剂:氯仿,DMSO等部分有机溶剂。
产品规格:500mg/1g/5g/10g
用途:用于医学研究,药物释放,纳米技术和新材料研究。
结构式:

产品简介:
PEG修饰剂随着平均分子量的不同,性质也有差异。从无色无臭粘稠液体至蜡状固体。随着分子量的增大,其吸湿能力相应降低。
包装:瓶装
厂家:西安齐岳生物科技有限公司
生产地址:西安
温馨提示:仅适用于科研
西安齐岳生物科技有限公司可供常规磷脂单体、PEG磷脂,改性磷脂,磷脂、聚合物磷脂、磷脂偶连无机纳米材料及微球类材料、单分散小分子PEG磷脂偶连产品,还可根据客户需要定制合成复杂及特殊的聚合物磷脂产品、两亲嵌段共聚物,磁性纳米颗粒,纳米金,荧光量子点及树枝状聚合物、PEG衍生物等等产品,更有许多的库存产品可供选择,详情请咨询客服。
相关产品推荐:
烷基磺酸盐-聚乙二醇-四氮杂环十二烷四乙酸
SAS-PEG-NOTA
烷基磺酸盐-聚乙二醇-大环配体NOTA
SAS-PEG-DTPA
烷基磺酸盐-聚乙二醇-二乙基三胺五乙酸
SAS-Tretinoin




齐岳微信公众号
官方微信
库存查询