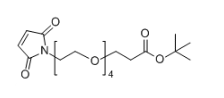
PEG试剂 Mal-PEG4-OtBu 518044-36-5
发布时间:2023-04-26  作者:LYQ  分享到:
产品信息:
英文名称:Mal-PEG4-OtBu
CAS No.:
518044-36-5
英文别名:
Mal-PEG4-CH2CH2COOtBu
产品纯度:
≥95%
分散系数:小于等于1.05
溶剂:氯仿,DMSO等部分有机溶剂。
产品规格:500mg/1g/5g/10g
用途:用于医学研究,药物释放,纳米技术和新材料研究。
结构式:

小分子PEG的介绍:
小分子PEG是指PEG以2个或2个以上的重复单元相连接而成,他们不同于高分子PEG,他们的分子量都是固定值,而分子量的大小跟重复单元相关,重复单元越高,分子量越大,因为他们不是高分子聚合物的PEG,而是一种小分子的重复单元PEG衍生物,因此他们常常是一种纯的小分子PEG产品,可以用纯度和CAS号来标识他们。
包装:瓶装
厂家:西安齐岳生物科技有限公司
生产地址:西安
温馨提示:仅适用于科研
西安齐岳生物科技有限公司供应定制合成磷脂、PEG磷脂、两亲嵌段共聚物,磁性纳米颗粒,纳米金,荧光量子点及树枝状聚合物、PEG衍生物等等产品。
相关产品推荐:
SS-PEG-MA
双硫键-聚乙二醇-甲基丙烯酸酯
SS-Iodoacetate
SS-PEG-IA
双硫键-聚乙二醇-碘乙酸盐
SS-Chloride
双硫键-聚乙二醇-氯化物




齐岳微信公众号
官方微信
库存查询