DSPE-PEG-COOH CAS:1403744-37-5 磷脂-聚乙二醇-羧基
发布时间:2023-04-28  作者:LYQ  分享到:
产品信息:
中文名称:二硬脂酰基磷脂酰乙醇胺-聚乙二醇-羧基
英文名称:DSPE-PEG-COOH
CAS No.:
1403744-37-5
英文别名:
DSPE-PEG-Acid
外观:粘性液体或固体粉末,取决于分子量
溶解性:溶于大部分有机溶剂,溶于水
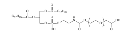
结构式:

简介:
聚乙二醇(PEG),也称为聚环氧乙烷(PEO)或聚氧乙烯(POE),是指环氧乙烷的寡聚物或聚合物。根据分子量的不同,聚乙二醇可为液体或低熔点固体。由于链长的影响,不同分子量的聚乙二醇往往有不同的物理性质和应用,但大部分的聚乙二醇化学性质是相似的。
包装:瓶装
厂家:西安齐岳生物科技有限公司
生产地址:西安
温馨提示:仅适用于科研
西安齐岳生物科技有限公司供应定制合成磷脂、PEG磷脂、两亲嵌段共聚物,磁性纳米颗粒,纳米金,荧光量子点及树枝状聚合物、PEG衍生物等等产品。
相关产品推荐:
SS-tyrosine
双硫键-聚乙二醇-络氨酸
SS-glycine
双硫键-聚乙二醇-甘氨酸
SS-serine
双硫键-聚乙二醇-丝氨酸
SVA-NH2
SVA-PEG-Amine




齐岳微信公众号
官方微信
库存查询