PEG(聚乙二醇)试剂 TFP-PEG5-TFP 443982-01-2 Bis-PEG5-TFP ester
发布时间:2023-05-05     作者:LYQ   分享到:
产品信息:
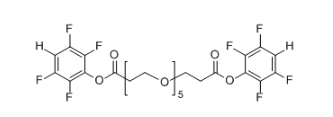
英文名称:TFP-PEG5-TFP
CAS No.:
443982-01-2
英文别名:
Bis-PEG5-TFP ester
产品纯度:
≥95%
分子式:
C26F8H26O9
分子量:我们提供常规的分子量,也可以根据客户需求进行定制
储存方式:-5°C以下保存,干燥,避光
保存时间 1年
结构式:

产品简介:
PEG修饰剂随着平均分子量的不同,性质也有差异。从无色无臭粘稠液体至蜡状固体。随着分子量的增大,其吸湿能力相应降低。
包装:瓶装
厂家:西安齐岳生物科技有限公司
生产地址:西安
温馨提示:仅适用于科研
西安齐岳生物科技有限公司可供常规磷脂单体、PEG磷脂,改性磷脂,磷脂、聚合物磷脂、磷脂偶连无机纳米材料及微球类材料、单分散小分子PEG磷脂偶连产品,还可根据客户需要定制合成复杂及特殊的聚合物磷脂产品、两亲嵌段共聚物,磁性纳米颗粒,纳米金,荧光量子点及树枝状聚合物、PEG衍生物等等产品,更有许多的库存产品可供选择,详情请咨询客服。
相关产品推荐:
琥珀酰亚胺戊酸酯-聚乙二醇-肝素
SVA-Concanavalin A
琥珀酰亚胺戊酸酯-聚乙二醇-刀豆球蛋白A
SVA-Catalase
琥珀酰亚胺戊酸酯-聚乙二醇-过氧化氢酶
SVA-Insulin
琥珀酰亚胺戊酸酯-聚乙二醇-胰岛素




齐岳微信公众号
官方微信
库存查询