mPEG-DSPE 147867-65-0 甲氧基聚乙二醇-1,2-二硬酯酰-SN-甘油-3-磷酰乙醇胺
发布时间:2023-05-05  作者:LYQ  分享到:
产品信息:
中文名称:甲氧基聚乙二醇-1,2-二硬酯酰-SN-甘油-3-磷酰乙醇胺
英文名称:mPEG-DSPE
CAS No.:
147867-65-0
产品纯度:
≥95%
分子量:我们提供常规的分子量,也可以根据客户需求进行定制
储存方式:-5°C以下保存,干燥,避光
保存时间 1年
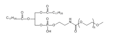
结构式:

PEG衍生物的介绍:
PEG衍生物溶于水、乙醇和许多其它有机溶剂。 蒸气压低,对热、酸、碱稳定。 与许多化学品不起作用。 有良好的吸湿性、润滑性、粘结性。 无毒,无刺激。
包装:瓶装
厂家:西安齐岳生物科技有限公司
生产地址:西安
温馨提示:仅适用于科研
我公司可以提供各种高分子PEG衍生物,分子量从1000-20000不等,涉及甲氧基PEG|氨基PEG|羧基PEG|巯基PEG|叠氮PEG|八臂PEG|四臂PEG|活性酯PEG|叶酸PEG|生物素PEG|马来酰亚胺PEG|荧光素PEG|罗丹明PEG|丙烯酸酯PEG|磷脂PEG|琥珀酰亚胺PEG|炔基PEG|羟基PEG|叶酸PEG|硅烷PEG等基团,同时我公司新推出了单分散的小分子量PEG/PEO衍生物,PEG/PEO的重复单元从2个-24个不等。
相关产品推荐:
SVA-Casein
琥珀酰亚胺戊酸酯-聚乙二醇-络蛋白
SVA-Ovalbumin
琥珀酰亚胺戊酸酯-聚乙二醇-卵清蛋白
SVA-Lectins
琥珀酰亚胺戊酸酯-聚乙二醇-凝集素
SVA-Dextran




齐岳微信公众号
官方微信
库存查询