mPEG7-MS 477775-57-8 七甘醇单甲醚甲磺酸盐 PEG修饰剂
发布时间:2023-05-06  作者:LYQ  分享到:
产品信息:
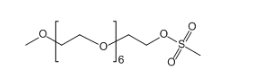
中文名称:七甘醇单甲醚甲磺酸盐
英文名称:mPEG7-MS
CAS No.:
477775-57-8
纯度:≥95%
取用:现配现用
存储条件:-20°冷冻保存,惰性气体保护
分子量: 350、550、750、1000、2000、3400、5000、10000
结构式:

PEG衍生物的介绍:
PEG衍生物有许多种类,例如:支链PEG衍生物,即Y-型PEG衍生物;直链单官能团PEG衍生物;同官能团双取代PEG衍生物;多臂PEG衍生物。
包装:瓶装
厂家:西安齐岳生物科技有限公司
生产地址:西安
温馨提示:仅适用于科研
西安齐岳生物科技有限公司供应定制合成磷脂、PEG磷脂、两亲嵌段共聚物,磁性纳米颗粒,纳米金,荧光量子点及树枝状聚合物、PEG衍生物等等产品。
相关产品推荐:
琥珀酰亚胺戊酸酯-聚乙二醇-聚肌氨酸
SVA-poly aspartic acid
SVA-PEG-PASP
琥珀酰亚胺戊酸酯-聚乙二醇-聚天冬氨酸
SVA-Poly(L-Glutamic acid)
SVA-PEG-PGA




齐岳微信公众号
官方微信
库存查询