DBCO-PEG(4)-NH2 CAS:1255942-08-5 氮杂二苯并环辛炔-四聚乙二醇-氨基
发布时间:2023-05-06  作者:zyl  分享到:
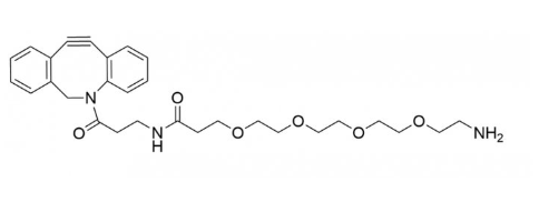
英文名称:DBCO-PEG4-amine
DBCO-PEG4-NH2
中文名称:氮杂二苯并环辛炔-PEG4 胺
氮杂二苯并环辛炔-四聚乙二醇-氨基
CAS No: 1255942-08-5
分子式:C29H37N3O6
分子量:523.6
结构式:

纯度:95%
保存方法:-20°C避光,避湿
点击化学(Click chemistry),又译为“链接化学”、“速配接合组合式化学”,是由化学家巴里·夏普莱斯(K B Sharpless)在2001年引入的一个合成概念,主旨是通过小单元的拼接,来快速可靠地完成形形色色分子的化学合成。
它尤其强调开辟以碳-杂原子键(C-X-C)合成为基础的组合化学新方法,并借助这些反应(点击反应)来简单**地获得分子多样性。
相关产品;
DBCO-C6-acid 1425485-72-8
DBCO-PEG1-acid 2228857-38-1
DBCO-PEG4-acid 1537170-85-6
DBCO-PEG5-acid
DBCO-PEG8-acid
DBCO-PEG12-acid
DBCO-NHCO-PEG5-acid 1870899-46-9
DBCO-NHCO-PEG13-acid 1353016-71-3
DBCO-C6-NHS ester 1384870-47-6
DBCO-PEG4-4-Formylbenzoate




齐岳微信公众号
官方微信
库存查询