DSPE-PEG2000-cRGD,磷脂-聚乙二醇-靶向穿膜肽cRGD环肽
发布时间:2023-05-08  作者:zyl  分享到:
产品化学性质:
DSPE(1,2-二硬脂酰-sn-甘油-3-磷酸乙醇胺)是一种饱和的18碳磷脂,常用于脂质体的合成。
聚乙二醇(PEG)偶联DSPE具有亲水性。聚乙二醇能增强溶解性和稳定性,降低带电分子表面非特异性结合,降低多肽的免疫原性。
DSPE-PEG-cRGD的应用:可用于胶束、囊泡的被动靶向,主动靶向研究和用于药物输送;可用于药物传递、基因转染和生物分子修饰;改善了胶囊药物的血液循环时间和稳定性。
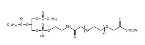
结构式

中文名称:磷脂-聚乙二醇-靶向穿膜肽cRGD环肽
英文名称:DSPE-PEG-cRGD
分子量:1k,2k,3.4k,5k,10k,20k(可按需定制)
端基取代率:95%+
用途:仅用于科学研究或者工业应用等非医疗目的,不可用于人类或动物的临床诊断或**,非药用,非食用
外观:固体或粘性液体,取决于分子量
其他产品:
DSPE-PEG-MAL 磷脂聚乙二醇马来酰亚胺
DSPE-PEG-NHS 磷脂聚乙二醇琥珀酰亚胺酯
DSPE-PEG-SH 磷脂聚乙二醇巯基
DSPE-PEG-Biotin 磷脂聚乙二醇生物素
DSPE-PEG-FA 磷脂聚乙二醇叶酸
DSPE-MPEG 磷脂甲氧基聚乙二醇
DSPE-PEG-OH 磷脂聚乙二醇羟基
DSPE-PEG-FITC 磷脂聚乙二醇荧光素
DSPE-PEG-Rhodamine 磷脂聚乙二醇罗丹明
DSPE-PEG磷脂聚乙二醇
DSPE-PEG-Galactose磷脂聚乙二醇半乳糖




齐岳微信公众号
官方微信
库存查询