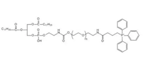
DSPE-PEG-TPP;二硬脂酰基磷脂酰乙醇胺-聚乙二醇-磷酸三苯酯
发布时间:2023-05-08  作者:zyl  分享到:
中文名称: 二硬脂酰基磷脂酰乙醇胺-聚乙二醇-磷酸三苯酯;三苯基磷聚乙二醇磷脂
简称: DSPE-PEG-TPP,TPP-PEG-DSPE
纯度: 95%+
分子量: 可以根据客户需要定制不同PEG分子量
溶解度: 溶于部分有机溶剂
保存条件: -20℃冷藏干燥保
保存时间: 一年磷酸三苯酯(阻燃剂TPP)是种含磷元素的化合物,可用作无卤环保型阻燃剂,用于溶解于有机溶剂。
主要用作工程塑料及酚醛树脂积层板的阻燃增塑剂;通过TPP修饰的聚乙二醇磷脂可应用于医学研究,药物释放,纳米技术和新材料研究,细胞培养。 以及配体研究,多肽合成支持,接枝高分子化

相关产品
磷脂聚乙二醇甘露糖 DSPE-PEG-Mannose
磷脂聚乙二醇氨基 DSPE-PEG-NH2
磷脂聚乙二醇羧基 DSPE-PEG-COOH
磷脂聚乙二醇巯基 DSPE-PEG-SH
磷脂聚乙二醇羟基 DSPE-PEG-OH
磷脂聚乙二醇马来酰亚胺 DSPE-PEG-MAl
磷脂聚乙二醇活性酯 DSPE-PEG-NHS
磷脂聚乙二醇巯基吡啶 DSPE-PEG-OPSS




齐岳微信公众号
官方微信
库存查询