DSPE-PEG2000-cRGD;二硬脂酰基磷脂酰乙醇胺-聚乙二醇2000-多肽
发布时间:2023-05-09  作者:zyl  分享到:
DSPE(1,2-二硬脂酰-sn-甘油-3-磷酸乙醇胺)是一种饱和的18碳磷脂,常用于脂质体的合成。聚乙二醇(PEG)偶联DSPE具有亲水性。聚乙二醇能增强溶解性和稳定性,降低带电分子表面非特异性结合,降低多肽的免疫原性。
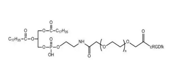
结构式

英文:DSPE-PEG-cRGD
cRGD-PEG-DSPE
中文:磷脂-聚乙二醇-靶向穿膜肽cRGD
二硬脂酰基磷脂酰乙醇胺-聚乙二醇-靶向穿膜肽cRGD
分子量:1k,2k,3.4k,5k,10k,20k(可按需定制)
质量控制:95%+
原料分散系数PDI:≤1.05
存储条件:-20°C,避光,避湿
用 途:仅供科研实验使用,不用于诊治
外观: 固体或粘性液体,取决于分子量
注意事项:取用一定要干燥,避免频繁的溶解和冻干
溶解性:溶于大部分有机溶剂,如:DCM、DMF、DMSO、THF等等。在水中有很好的溶解性
相关产品:
DSPE-PEG-Transferrin MW:5000 磷脂-聚乙二醇-转铁蛋白
DSPE-PEG-Cholesterol MW:20000 磷脂-聚乙二醇-胆固醇
DSPE-PEG-DBCO MW:2000 磷脂-聚乙二醇-二苯基环辛炔
DSPE-PEG-HSA MW:3400 磷脂-聚乙二醇-人血清白蛋白*
DSPE-PEG-PEI MW:5000 磷脂-聚乙二醇-聚乙烯亚胺
DSPE-PEG-Silane MW:10000 磷脂-聚乙二醇-硅烷
DSPE-PEG-Mannose MW:20000 磷脂-聚乙二醇-甘露糖




齐岳微信公众号
官方微信
库存查询